Ответы
Ответ дал:
0
Вот ответ вот ответ вот ответ вот ответ
Приложения:

Ответ дал:
0
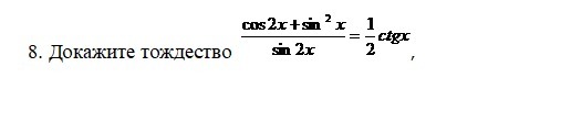
Решение во вложении, надеюсь понятно
Приложения:

Вас заинтересует
2 года назад
2 года назад
3 года назад
3 года назад
9 лет назад
9 лет назад
10 лет назад