• Предмет: Математика
  • Автор: Safari111
  • Вопрос задан 9 лет назад

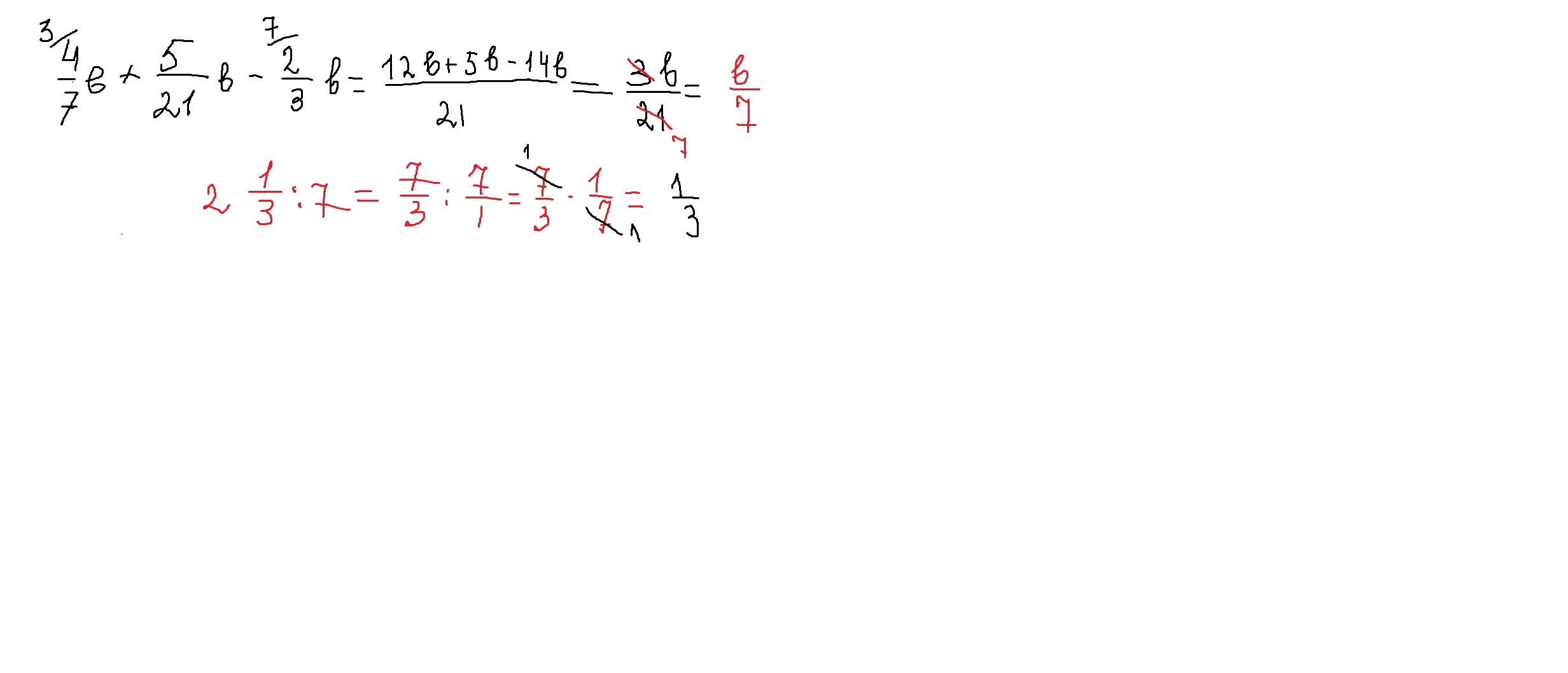
4/7в+5/21в-2/3в,если в=2 целых 1/3

Ответы

Ответ дал: parus77
0
решение смотри внизу
Приложения:
Вас заинтересует