Ответы
Ответ дал:
0
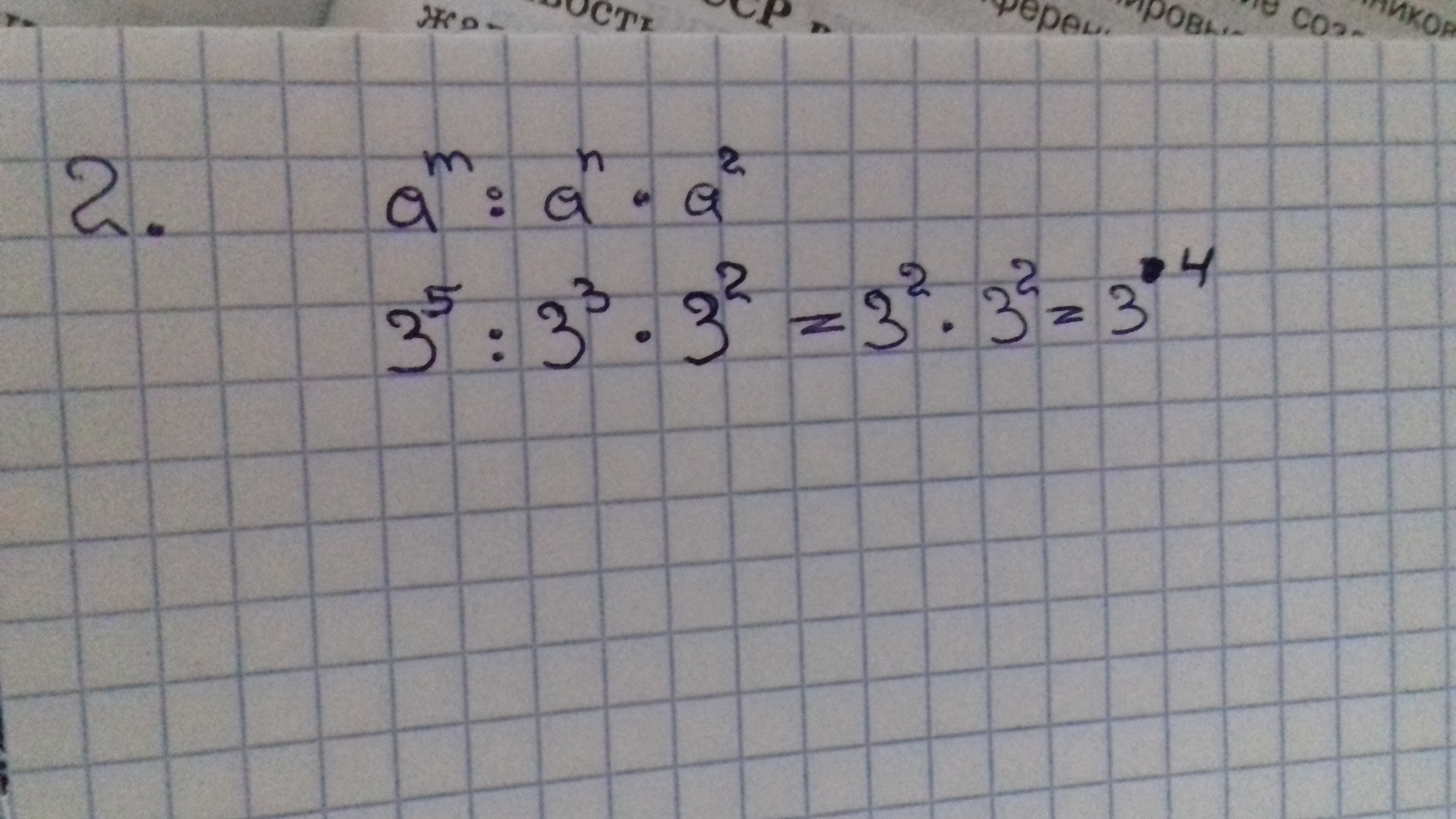
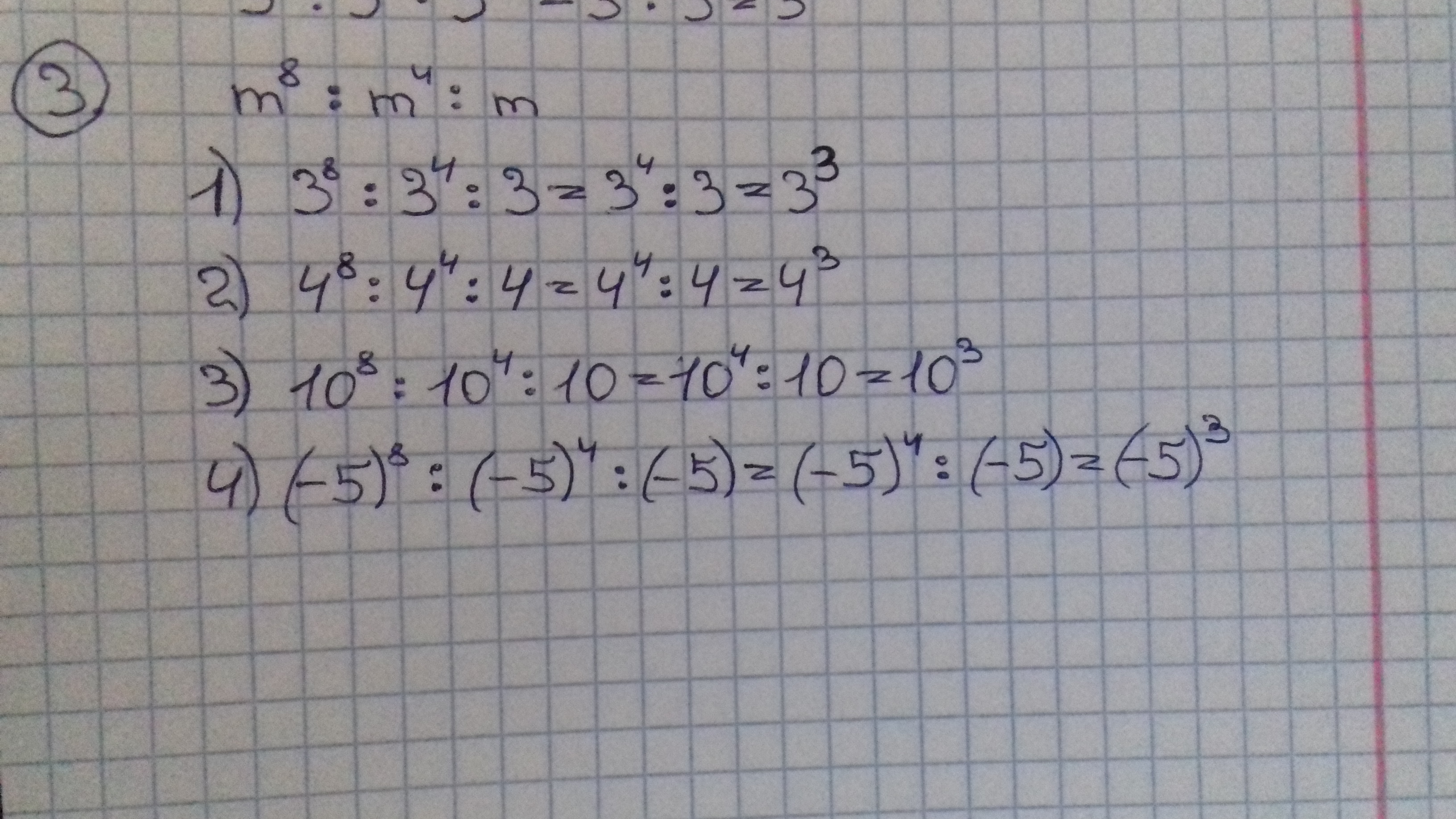
Когда одинаковое число :при делении степень минусуется,при умножении-плюсуется.Всё просто.Когда число без степени, подразумеваем, что оно в первой степени.Только вот я не знаю,нужно ли в конце возводить число в степень.Если решите,что это необходимо калькулятор вам в помощь.
Приложения:


Вас заинтересует
2 года назад
3 года назад
3 года назад
9 лет назад
9 лет назад
10 лет назад