Ответы
Ответ дал:
0
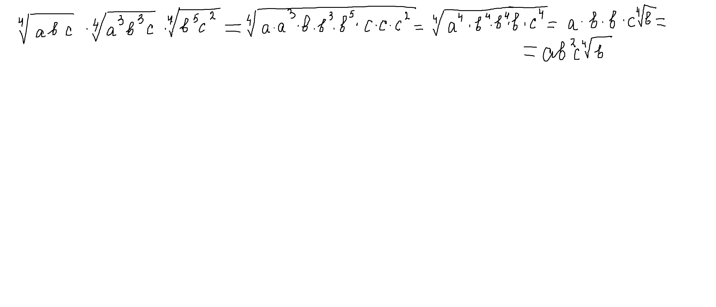
если правильно поняла условие,то решение внизу,если не правильно ,то объясни условие.
Приложения:

Ответ дал:
0
Все так, спасибо, вы мой спаситель
Вас заинтересует
2 года назад
3 года назад
3 года назад
9 лет назад
10 лет назад