Ответы
Ответ дал:
0
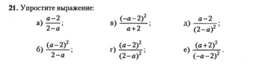
#21
а)
б)
в)
г)
д)
е)
#22
Сразу ответы :>
a) 9a+9b
б) 4с-12d
в)
г)
а)
б)
в)
г)
д)
е)
#22
Сразу ответы :>
a) 9a+9b
б) 4с-12d
в)
г)
Вас заинтересует
2 года назад
2 года назад
3 года назад
3 года назад
9 лет назад
9 лет назад
10 лет назад