• Предмет: Математика
  • Автор: bb716711
  • Вопрос задан 9 лет назад

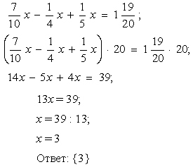
Как решить уравнение в дробях

Ответы

Ответ дал: Tita0
0
как то так
делать нужно подействиям

Приложения:
Вас заинтересует