Ответы
Ответ дал:
0
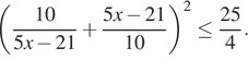
замена: (5х-21)/10 = t ; t≠0
((1/t) + t)² ≤ (5/2)²
|(1/t) + t| ≤ 5/2
-5/2 ≤ (1/t) + t ≤ 5/2
-5 ≤ (2/t) + 2t ≤ 5
⇔ {(2/t) + 2t ≤ 5
{(2/t) + 2t ≥ -5
{(2t²-5t+2) / t ≤ 0 D=25-16=3² t₁ = 0.5 t₂ = 2 t₃ = 0(выколотая точка)
{(2t²+5t+2) / t ≥ 0 D=25-16=3² t₁ = -2 t₂ = -0.5 t₃ = 0(выколотая точка)
{ ------(0)+++++[0.5]-------[2]+++++++
{ ------[-2]+++++[-0.5]-------(0)+++++++
-2 ≤ t ≤ -0.5 U 0.5 ≤ t ≤ 2 возвращаемся к переменной х ≠ 4.2
-2 ≤ (5х-21)/10 ≤ -0.5 U 0.5 ≤ (5х-21)/10 ≤ 2
-20 ≤ 5х-21 ≤ -5 U 5 ≤ 5х-21 ≤ 20 (умножили на 10)
1 ≤ 5х ≤ 16 U 26 ≤ 5х ≤ 41 (прибавили 21)
0.2 ≤ х ≤ 3.2 U 5.2 ≤ х ≤ 8.2 (разделили на 5)
((1/t) + t)² ≤ (5/2)²
|(1/t) + t| ≤ 5/2
-5/2 ≤ (1/t) + t ≤ 5/2
-5 ≤ (2/t) + 2t ≤ 5
⇔ {(2/t) + 2t ≤ 5
{(2/t) + 2t ≥ -5
{(2t²-5t+2) / t ≤ 0 D=25-16=3² t₁ = 0.5 t₂ = 2 t₃ = 0(выколотая точка)
{(2t²+5t+2) / t ≥ 0 D=25-16=3² t₁ = -2 t₂ = -0.5 t₃ = 0(выколотая точка)
{ ------(0)+++++[0.5]-------[2]+++++++
{ ------[-2]+++++[-0.5]-------(0)+++++++
-2 ≤ t ≤ -0.5 U 0.5 ≤ t ≤ 2 возвращаемся к переменной х ≠ 4.2
-2 ≤ (5х-21)/10 ≤ -0.5 U 0.5 ≤ (5х-21)/10 ≤ 2
-20 ≤ 5х-21 ≤ -5 U 5 ≤ 5х-21 ≤ 20 (умножили на 10)
1 ≤ 5х ≤ 16 U 26 ≤ 5х ≤ 41 (прибавили 21)
0.2 ≤ х ≤ 3.2 U 5.2 ≤ х ≤ 8.2 (разделили на 5)
Вас заинтересует
2 года назад
2 года назад
3 года назад
9 лет назад