Ответы
Ответ дал:
0
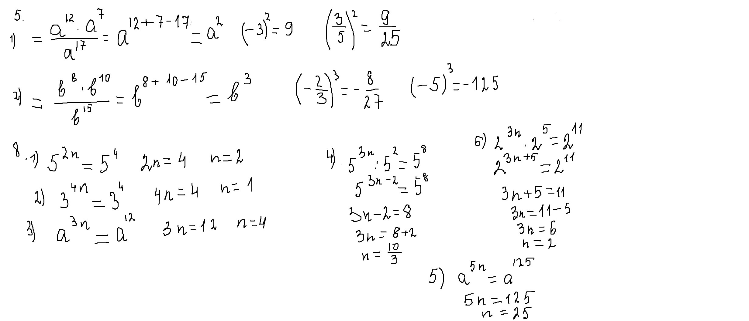
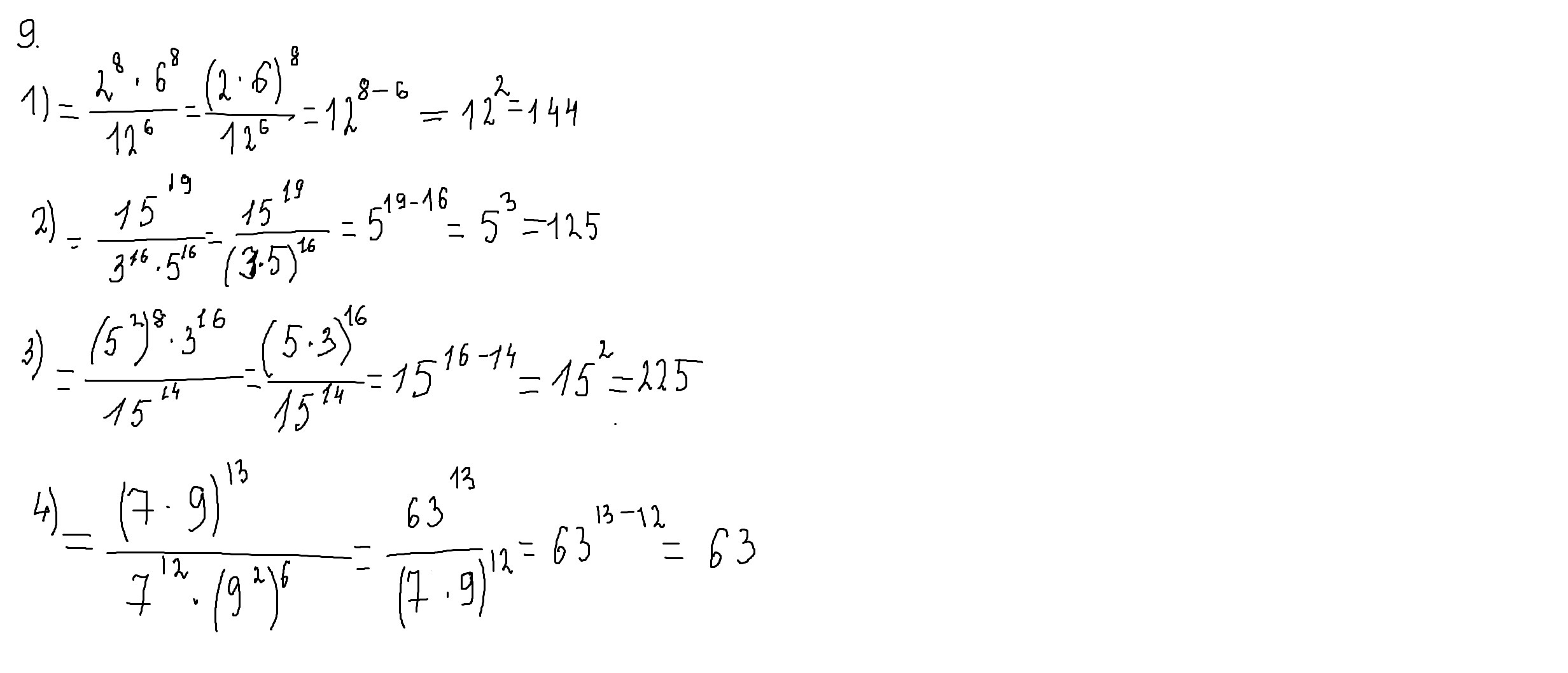
все задания решены внизу
Приложения:


Вас заинтересует
2 года назад
2 года назад
3 года назад
3 года назад
9 лет назад
9 лет назад
10 лет назад