• Предмет: Математика
  • Автор: djezhik
  • Вопрос задан 9 лет назад

а)^2−2||+^2−2||+1=0
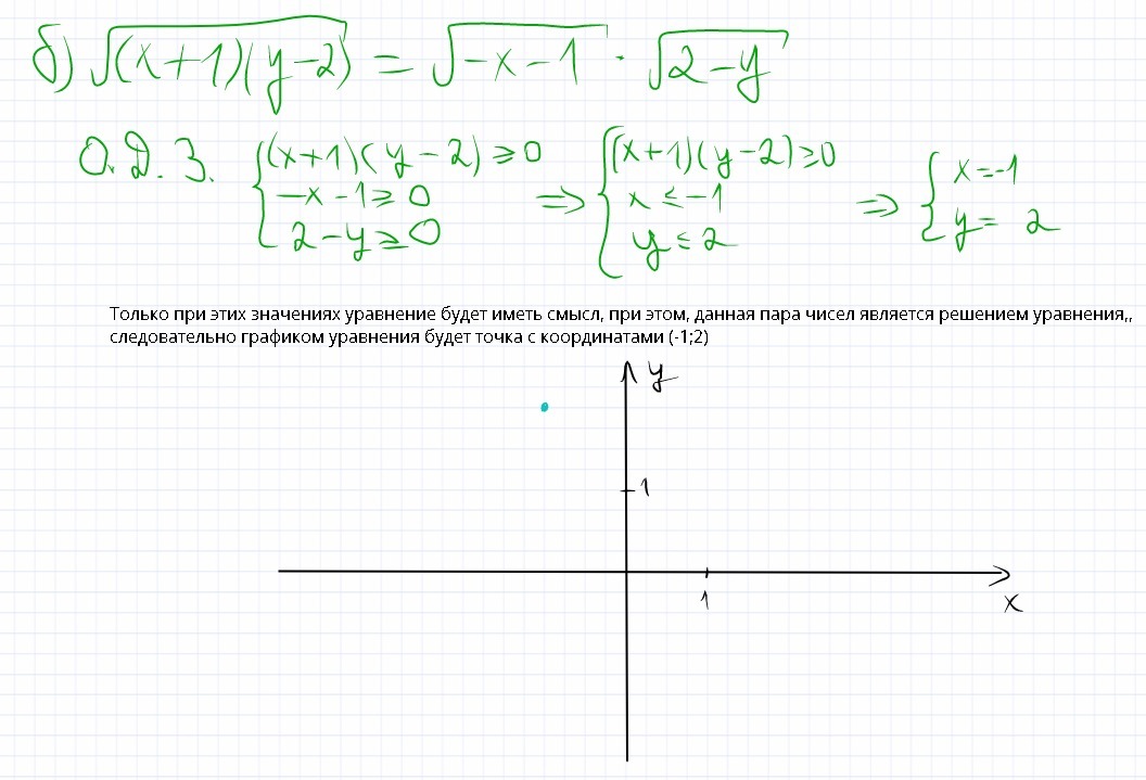
б) sqrt{(x+1)(y-2)} = sqrt{-x-1} sqrt{2-y }
построить график уравнений

Ответы

Ответ дал: volkodav575
0
Решение во вложении, надеюсь видно
Приложения:
Вас заинтересует