• Предмет: Алгебра
  • Автор: Spirya11
  • Вопрос задан 9 лет назад

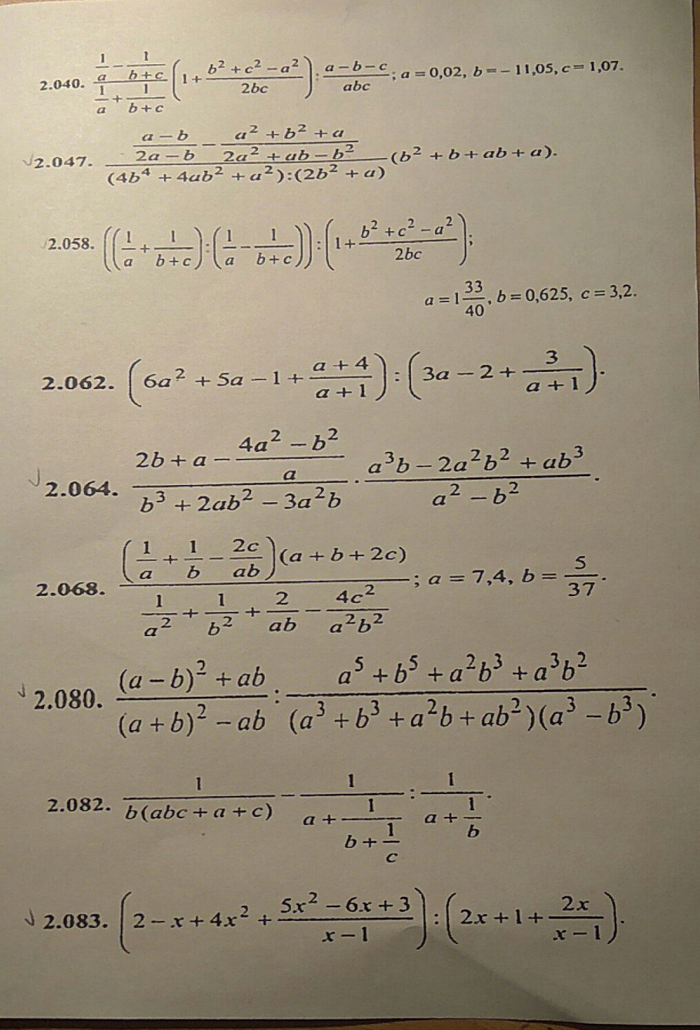
кто сможет помочь , разцелую . То что выделено галочками , пожалуйста)

Приложения:

Ответа на этот вопрос пока нет. Попробуйте найти его через форму поиска.

Вас заинтересует