• Предмет: Математика
  • Автор: Bronzor1
  • Вопрос задан 9 лет назад

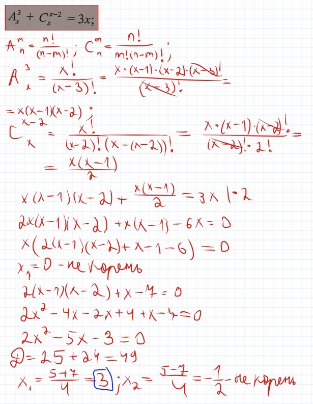
Решите пожалуйста. Как можно подробнее

Приложения:

Ответы

Ответ дал: volkodav575
0
Решение во вложении, надеюсь понятно
Приложения:
Ответ дал: IrkaShevko
0
не верно
Ответ дал: volkodav575
0
исправил
Ответ дал: IrkaShevko
0
второй корень чего не поправили-то
Ответ дал: volkodav575
0
поправил
Ответ дал: IrkaShevko
0
все, спасибо))
Вас заинтересует