Ответы
Ответ дал:
0
ДУМАЕМ
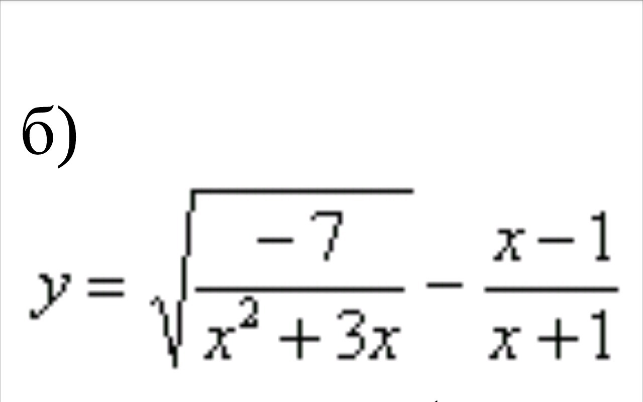
Надо исключить деление на ноль.
Надо исключить "отрицательный" корень.
РЕШЕНИЕ
1) х+1 ≠ 0 или х ≠ -1 - первая точка разрыва- исключить из ОДЗ.
Под корнем.
2) х*(х+3) ≠ 0 или х ≠0 и х ≠ -3 - еще две точки разрыва исключаем.
3) -7/(х²+3х) ≥ 0 - парабола (x²-3) ≤0 при 0 ≤ х ≤ 3 - тоже исключаем.
Надо нарисовать схему этих исключений.
Х≠1, Х≠0,Х≤3, 0≤ Х≤3 - и получаем
ОДЗ - Х∈(0;1)∪(1;3) - ОТВЕТ
Надо исключить деление на ноль.
Надо исключить "отрицательный" корень.
РЕШЕНИЕ
1) х+1 ≠ 0 или х ≠ -1 - первая точка разрыва- исключить из ОДЗ.
Под корнем.
2) х*(х+3) ≠ 0 или х ≠0 и х ≠ -3 - еще две точки разрыва исключаем.
3) -7/(х²+3х) ≥ 0 - парабола (x²-3) ≤0 при 0 ≤ х ≤ 3 - тоже исключаем.
Надо нарисовать схему этих исключений.
Х≠1, Х≠0,Х≤3, 0≤ Х≤3 - и получаем
ОДЗ - Х∈(0;1)∪(1;3) - ОТВЕТ
Вас заинтересует
2 года назад
2 года назад
3 года назад
3 года назад
9 лет назад
10 лет назад