Даю в три раза больше баллов, чем обычно. Решите пожалуйста полностью три задания, с решением как на к.р
А если вам не сложно, то немного объясните, не понимаю это.
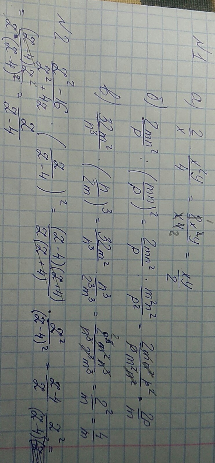
Приложения:

Ответы
Ответ дал:
0
насчет 3 сомневаюсь, при сокращении у меня получился сразу ответ
3. (2xy^2)/(3x-y) : (xy^3)/(9x^2-y^2) * (2y)/(3x+y) = 2xy^2(3x-y)(3x+y)2y/(3x-y)xy^3(3x+y) = 4
1. (3x-y) и (3x-y) сокращаются
2. (3x+y) и (3x+y) сокращаются
3. в числителе y^2 * y = y^3; y^3 и y^3 сокращаются
4. x и x сокращаются
5. остается 2 * 2 = 4
3. (2xy^2)/(3x-y) : (xy^3)/(9x^2-y^2) * (2y)/(3x+y) = 2xy^2(3x-y)(3x+y)2y/(3x-y)xy^3(3x+y) = 4
1. (3x-y) и (3x-y) сокращаются
2. (3x+y) и (3x+y) сокращаются
3. в числителе y^2 * y = y^3; y^3 и y^3 сокращаются
4. x и x сокращаются
5. остается 2 * 2 = 4
Приложения:

Вас заинтересует
2 года назад
3 года назад
3 года назад
9 лет назад
9 лет назад
10 лет назад
10 лет назад