Ответы
Ответ дал:
0
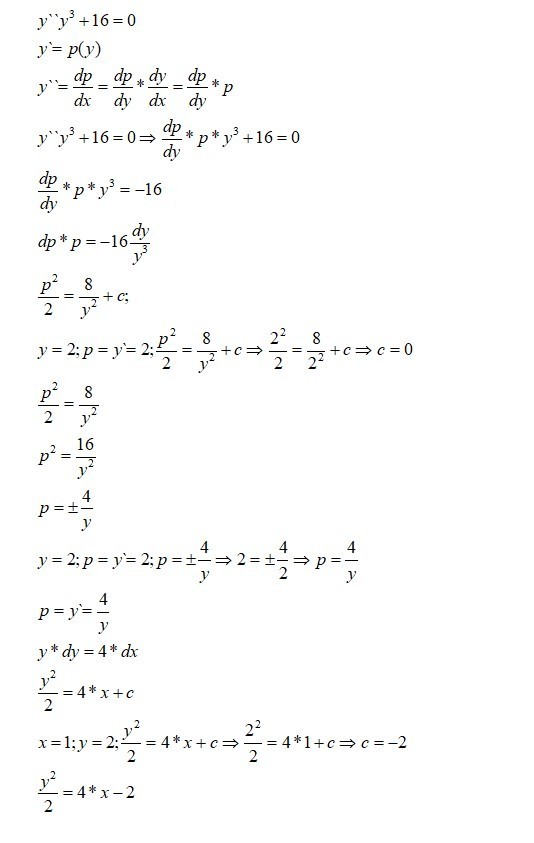
смотри решение во вложении.
Приложения:

Ответ дал:
0
Здравствуйте, есть ли возможность решить такое?
Ответ дал:
0
https://znanija.com/task/26392389
Ответ дал:
0
Добрый вечер, как такое решить?
Помогите , пожалуйста. Надеюсь, есть время. https://znanija.com/task/26668473
Помогите , пожалуйста. Надеюсь, есть время. https://znanija.com/task/26668473
Вас заинтересует
2 года назад
2 года назад
3 года назад
9 лет назад
10 лет назад