Ответы
Ответ дал:
0
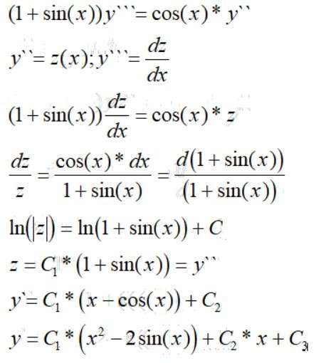
смотри решение во вложении
Приложения:

Ответ дал:
0
Спасибо большое! А с таким поможете разобраться? https://znanija.com/task/26145912
Вас заинтересует
2 года назад
2 года назад
3 года назад
3 года назад
9 лет назад
10 лет назад