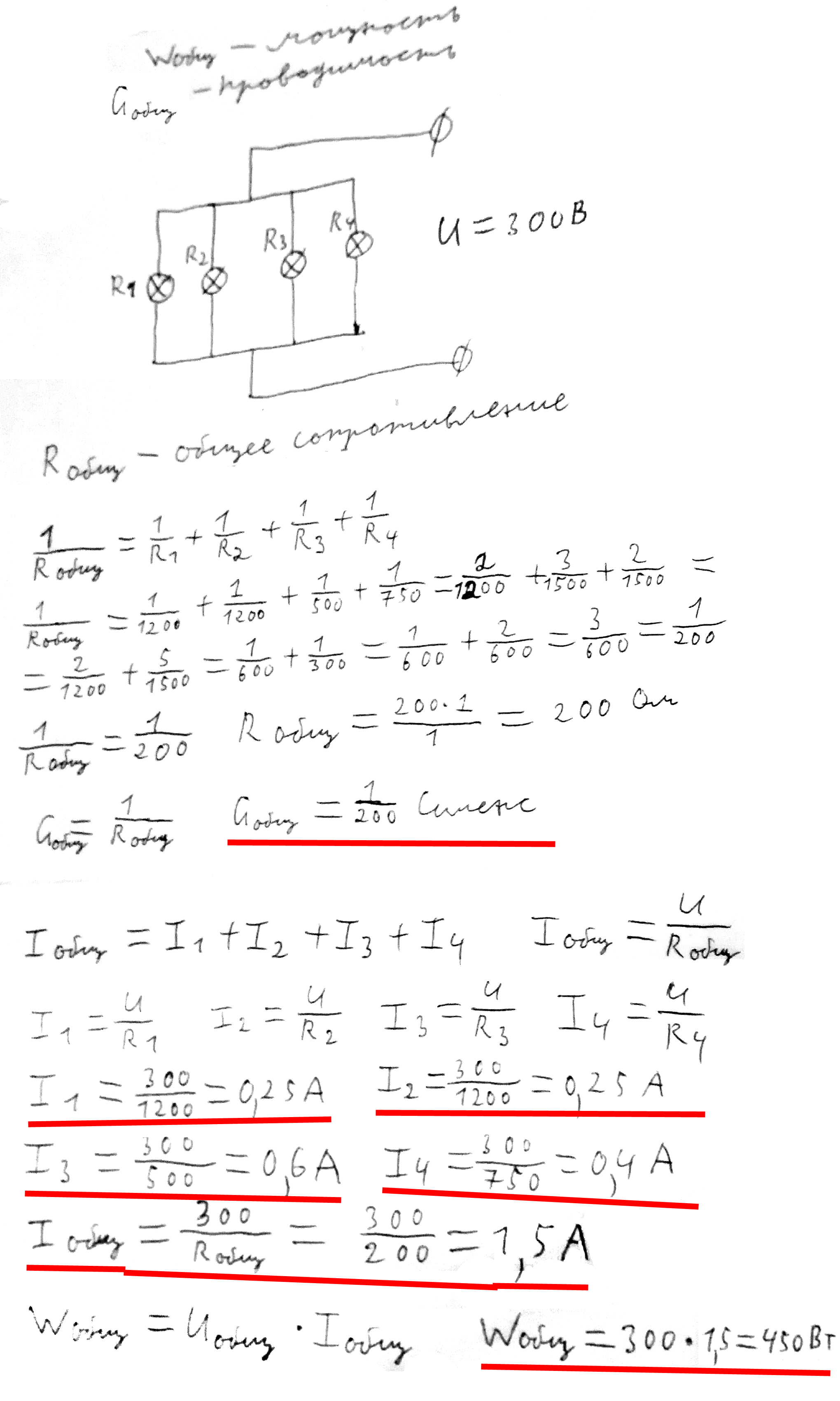
К источнику с напряжением 300В подключены паралельно 4 лампочки накаливания с сопротивлением R1=R2=1200,R3=500,R4=750.определить общее сопротивление и проводимость цепи,том в лампах и общую потребляемую мощность
Ответы
Ответ дал:
0
проводимость обратна общему сопротивлению
общий ток - сумма токов на каждой лампе(при параллельном соединении токи складываются)
общий ток - сумма токов на каждой лампе(при параллельном соединении токи складываются)
Приложения:

Вас заинтересует
1 год назад
2 года назад
2 года назад
3 года назад
3 года назад
8 лет назад