Y=f(x), где f(x)=x^3-5x^2+7
f(1,5) как в ответе получается -7/8
РЕШЕНИЕ, ПОЖАЛУЙСТА, С ПРЕОБРАЗОВАНИЕМ В ДРОБИ И, ПОЖАЛУЙСТА, ПОД-РОБ-НО!'ГОСПОДИ, КАК Я УСТАЛ РЕШАТЬ ЭТО...
Ответы
Ответ дал:
0
f(1,5), т.е. подставляем 1,5 в выражение.
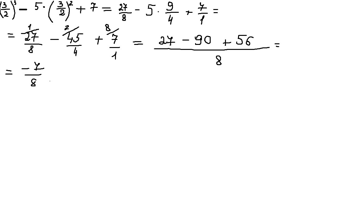
1,5 - это, переведя в неправильную дробь, 3/2
(3/2)³ - 5 * (3/2)² + 7 = 27/8 - 45/4 + 7/1 = (27 - 90 +56) / 8 = -7/8.
1,5 - это, переведя в неправильную дробь, 3/2
(3/2)³ - 5 * (3/2)² + 7 = 27/8 - 45/4 + 7/1 = (27 - 90 +56) / 8 = -7/8.
Приложения:
Ответ дал:
0
откуда берется 90 и 56. простите я тупой
Ответ дал:
0
Давайте я Вам распишу всё и прикреплю файл? Может быть, так Вам станет понятнее :)
Ответ дал:
0
СПАСИБО!!!))
Ответ дал:
0
Это опять я.только вот если решать по действиям: сначала умножить 5 на (3/2)^2, потом прибавить 7 и полученную дробь вычесть из первой дроби. С таким способом ответ неверный
Вас заинтересует
2 года назад
2 года назад
3 года назад
3 года назад
9 лет назад