мальчик ехал на велосипеде со скоростью 36 км/ч , а потом шёл пешком со скоростью 3 км/ч . Какую часть всего растояния и какую часть всего времени движения мальчик ехал, если за 2 часа преодолел 16 км?
Ответы
Ответ дал:
0
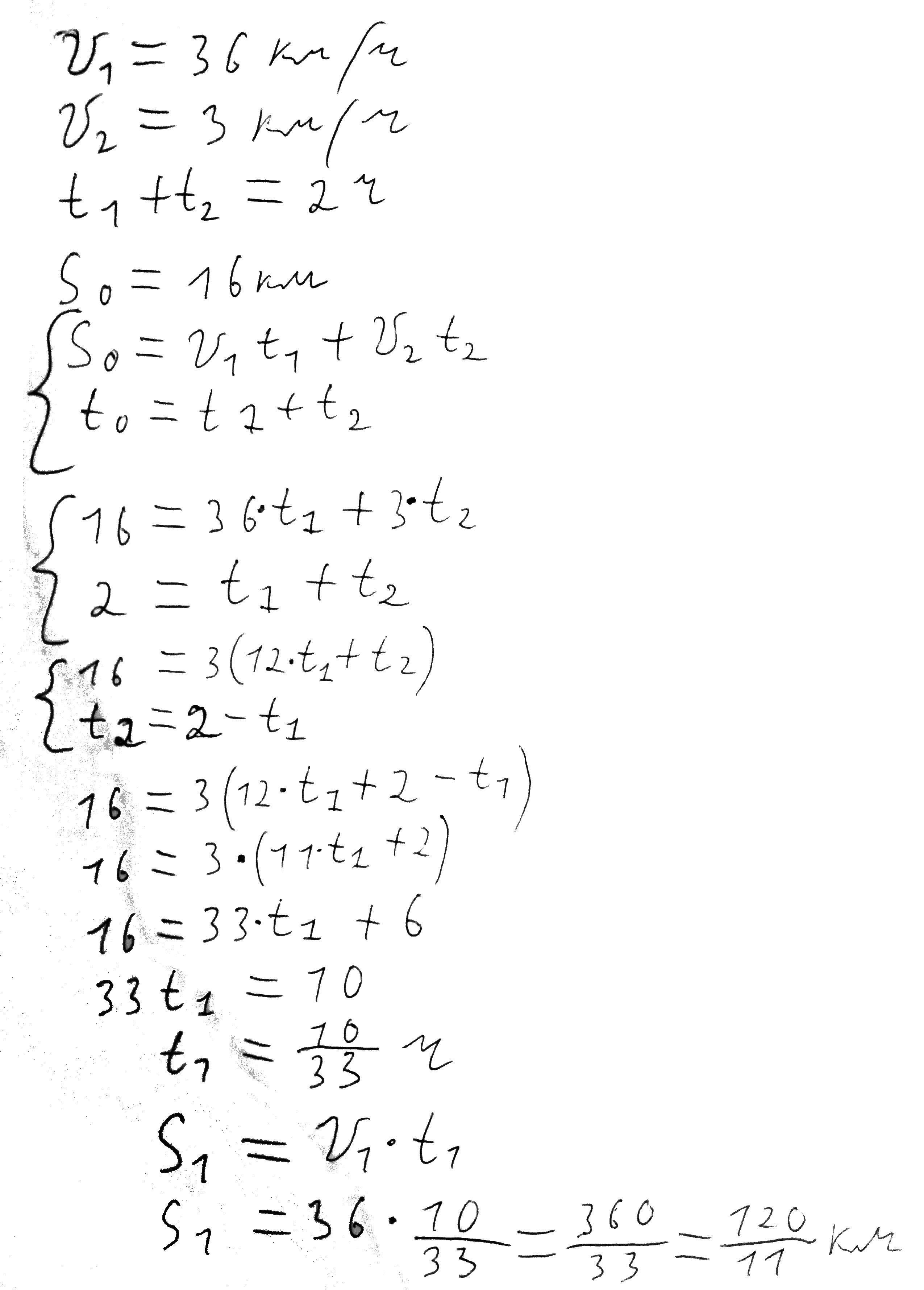
V1 - скорость на велосипеде(36 км/ч)
V2 - скорость пешком (3 км/ч)
to - общее время(2 часа)
t1 - время на велосипеде
t2 - время пешком
So - общее расстояние(16 км)
S1 - расстояние на велосипеде
V2 - скорость пешком (3 км/ч)
to - общее время(2 часа)
t1 - время на велосипеде
t2 - время пешком
So - общее расстояние(16 км)
S1 - расстояние на велосипеде
Приложения:
Ответ дал:
0
cпасибо
Вас заинтересует
2 года назад
3 года назад
9 лет назад
9 лет назад
10 лет назад