• Предмет: Математика
  • Автор: Artem2282283
  • Вопрос задан 9 лет назад

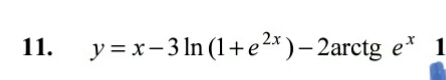
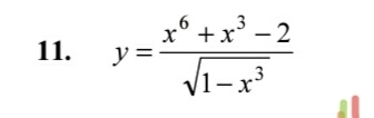
Найти пороизводную у'
Найти похідну y'
Пожалуста

Приложения:

Ответы

Ответ дал: IrkaShevko
0
y = frac{x^6+x^3-2}{ sqrt{1-x^3} } = frac{(x^3-1)(x^3+2)}{ sqrt{1-x^3} } =sqrt{1-x^3} (x^3+2)\ y'= frac{-3x^2(x^3+2)}{2 sqrt{1-x^3} } +3x^2 sqrt{1-x^3} = frac{-6x^5-6x^2+6x^2-6x^5}{2 sqrt{1-x^3} } =- frac{6x^5}{ sqrt{1-x^3} }

2) y' = 1 - frac{6e^{2x}}{1+e^{2x}} - frac{2e^x}{1+e^{2x}} = frac{1+e^{2x}-6e^{2x}-2e^x}{1+e^{2x}} = frac{1-5e^{2x}-2e^x}{1+e^{2x}}

3) прологарифмируем обе части:
lny = (lnx*sinx)ln(x*sinx)\ frac{y'}{y} = ( frac{sinx}{x}+lnx*cosx )ln(x*sinx)+(lnx*sinx) frac{sinx+xcosx}{x*sinx} \ y' = (x*sinx)^{lnx*sinx}*\ *( frac{sinx}{x}+lnx*cosx )ln(x*sinx)+(lnx*sinx) frac{sinx+xcosx}{x*sinx})
Вас заинтересует