• Предмет: Алгебра
  • Автор: Mognolia
  • Вопрос задан 9 лет назад

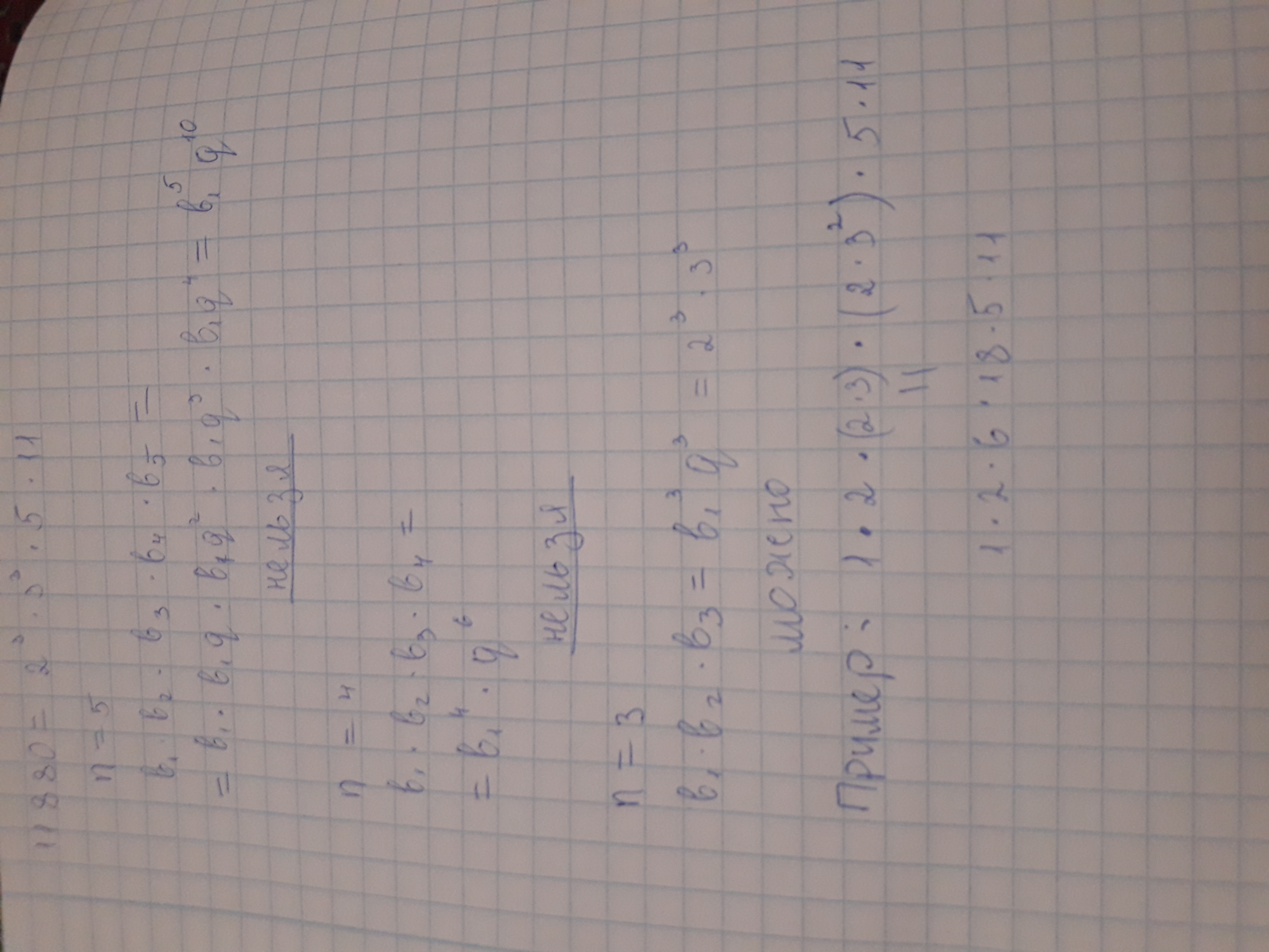
Можно ли представить число 11880 в виде произведения шести различных натуральных чисел так, чтобы n из них составляли геометрическую прогрессию. Отметьте пункты, для которых такое представление существует.
n=5
n=4
n=3

Ответы

Ответ дал: Universalka
0

Разложим 11880 на простые множители: 11880 =2*2*2*3*3*3*5*11 = 2^3*3^3*5*11. Отсюда сразу видно, что поскольку максимальная степень простого множителя равна 3, 11880 можно представить только в виде произведения шести различных натуральных чисел, три из которых образуют геометрическую прогрессию. К примеру: 1*2*4*9*11*15. Все 6 чисел различны, а 1, 2 и 4 образуют геометрическую прогрессию. Или 1*3*4*9*10*11. Все 6 чисел различны, а 1, 3 и 9 образуют геометрическую прогрессию.

Ответ: n=3.

Ответ дал: adik61
0
а для 4 и 5?
Ответ дал: adik61
0
этих рассуждений недостаточно, чтобы говорить, что для 4 и 5 нельзя
Ответ дал: Universalka
0
Читайте внимательнее решение. Цитата: Отсюда сразу видно, что поскольку максимальная степень простого множителя равна 3 и т. д.
Ответ дал: adik61
0
смотрите фото!!!!!!!!!!
Приложения:
Вас заинтересует