• Предмет: Алгебра
  • Автор: лиззка15
  • Вопрос задан 9 лет назад

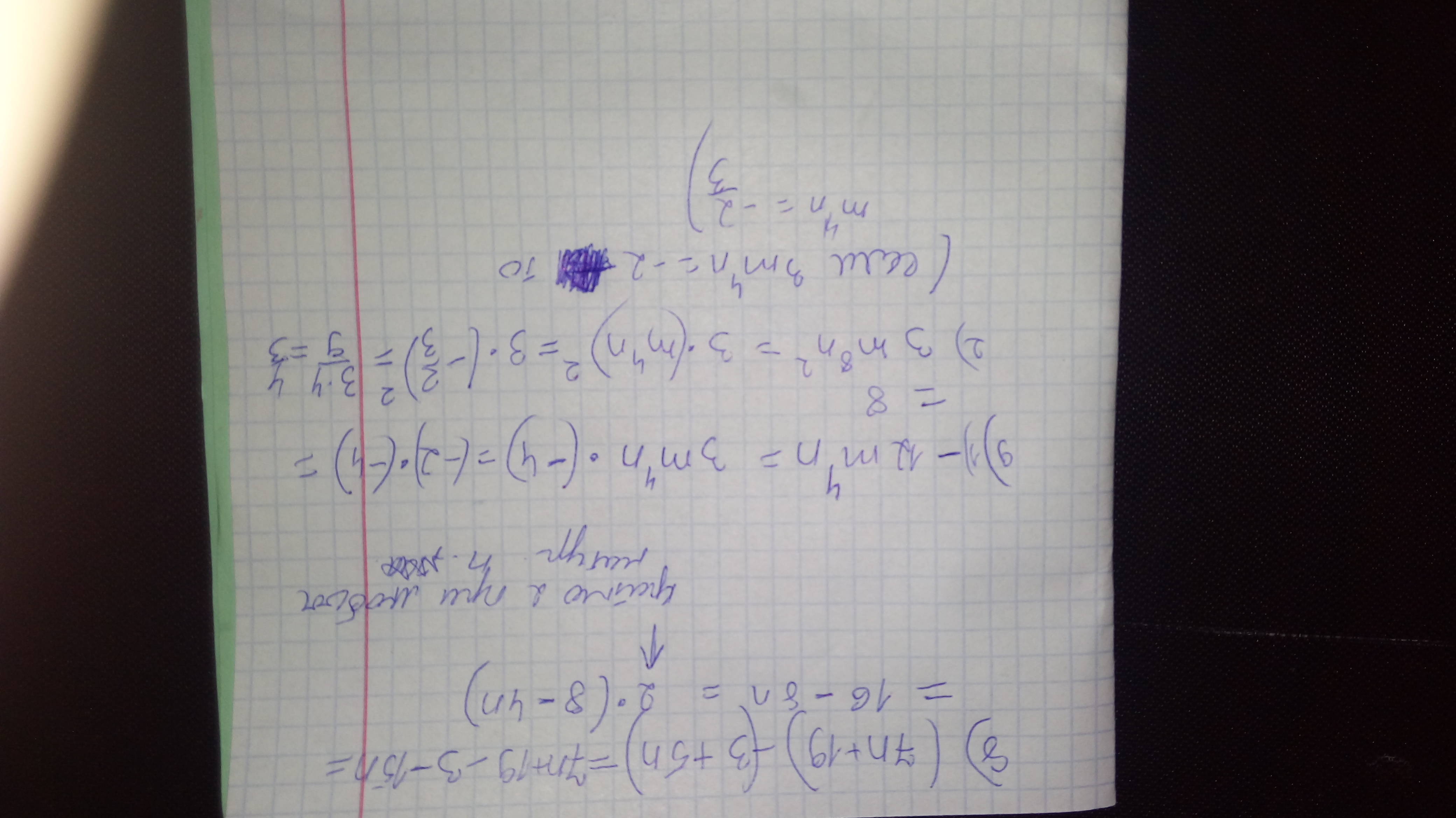
Помогите решить. Если можете на листке.только 9.

Приложения:

Ответы

Ответ дал: sara131
0
'--------------'----
Приложения:
Ответ дал: лиззка15
0
3×(-2/3)-?
Ответ дал: sara131
0
Я там в скобках написала 3m^4n= 2 значит m^4n=-2/3.
Ответ дал: sara131
0
-2/4 плдставляем вместо m^4n
Ответ дал: sara131
0
*-2/3
Ответ дал: лиззка15
0
спасибо большое
Вас заинтересует