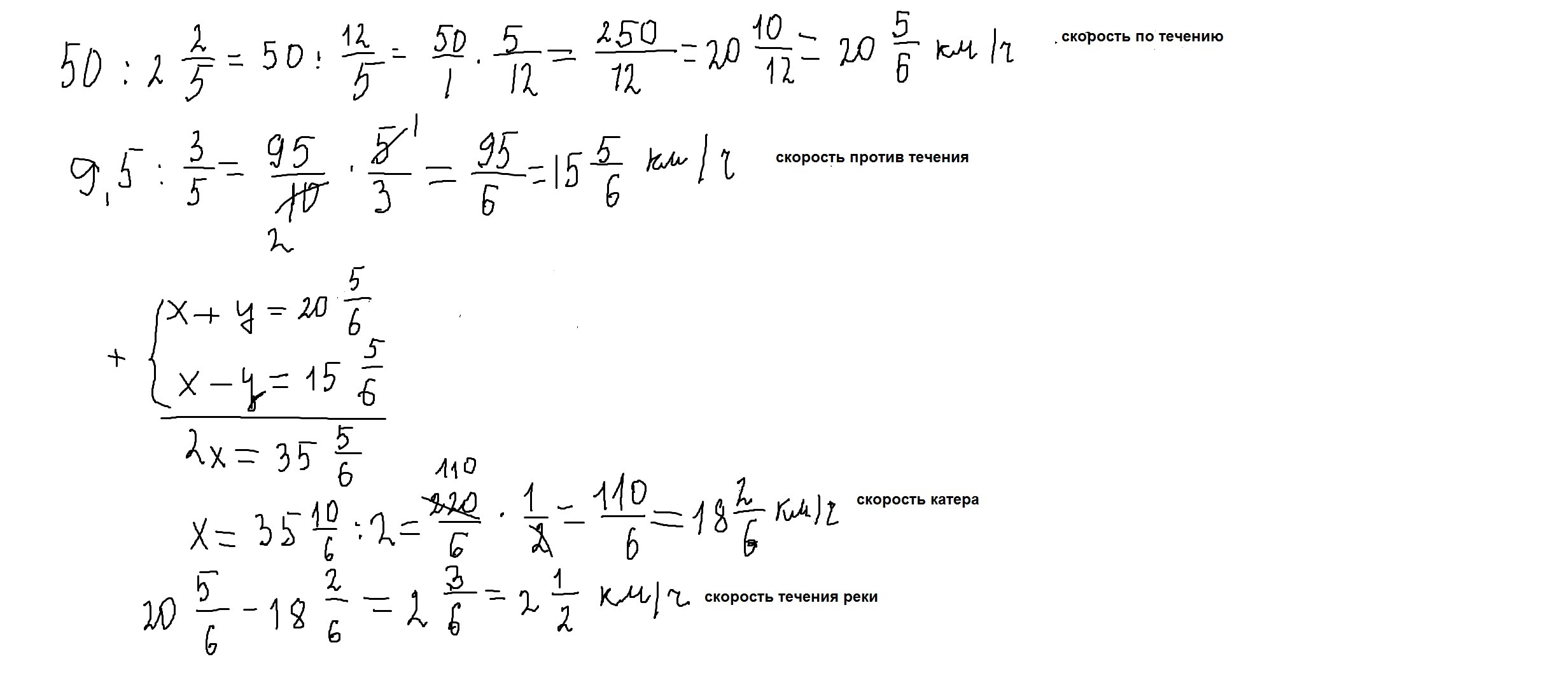
Катер проплив за течією річки 50 км за 2 цілих 2/5 год, а потім 9,5 км проти течії за 3/5 год. Знайдіть швидкість течії річки
Ответы
Ответ дал:
0
решение задачи смотри внизу.извини,что на русском.
Приложения:

Вас заинтересует
2 года назад
2 года назад
3 года назад
3 года назад
9 лет назад
9 лет назад
10 лет назад