Ответы
Ответ дал:
0
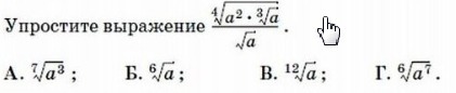
я заменил a на x чтобы мне было удобнее ![frac{ sqrt[4]{ x^{2} * sqrt[3]{x} } }{ sqrt{x} } = frac{ sqrt[4]{ x^{2}} *sqrt[4]{ sqrt[3]{x} } }{ sqrt{x} } = frac{ sqrt{x} * sqrt[12]{x} }{ sqrt{x} } = sqrt[12]{x} frac{ sqrt[4]{ x^{2} * sqrt[3]{x} } }{ sqrt{x} } = frac{ sqrt[4]{ x^{2}} *sqrt[4]{ sqrt[3]{x} } }{ sqrt{x} } = frac{ sqrt{x} * sqrt[12]{x} }{ sqrt{x} } = sqrt[12]{x}](https://tex.z-dn.net/?f=+frac%7B+sqrt%5B4%5D%7B+x%5E%7B2%7D+%2A+sqrt%5B3%5D%7Bx%7D+%7D+%7D%7B+sqrt%7Bx%7D+%7D++%3D++frac%7B+sqrt%5B4%5D%7B+x%5E%7B2%7D%7D+%2Asqrt%5B4%5D%7B+sqrt%5B3%5D%7Bx%7D+%7D+%7D%7B+sqrt%7Bx%7D+%7D++%3D+frac%7B+sqrt%7Bx%7D+%2A+sqrt%5B12%5D%7Bx%7D+%7D%7B+sqrt%7Bx%7D+%7D+%3D+sqrt%5B12%5D%7Bx%7D+)
Ответ: В
Ответ: В
Вас заинтересует
2 года назад
2 года назад
3 года назад
9 лет назад
9 лет назад
10 лет назад
10 лет назад