Ответы
Ответ дал:
0
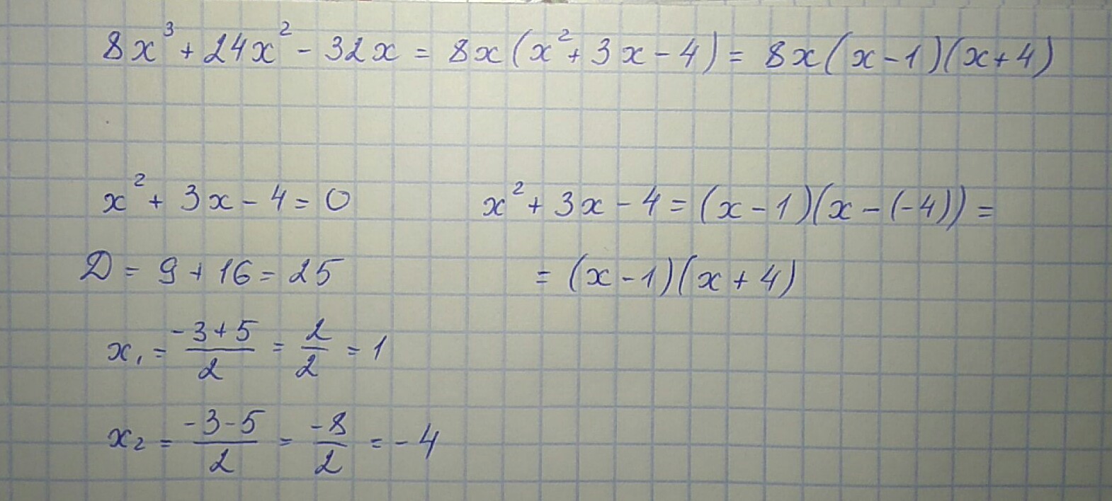
8x³+24x²-32x=8x(x²+3x-4)=8x(x-1)(x+4)
x²+3x-4=0
по теореме Виета
x=1
x=-4
x²+3x-4=(x-1)(x+4)
x²+3x-4=0
по теореме Виета
x=1
x=-4
x²+3x-4=(x-1)(x+4)
Ответ дал:
0
Разложение и ответ на фото
Приложения:

Вас заинтересует
2 года назад
2 года назад
3 года назад
9 лет назад
9 лет назад
10 лет назад