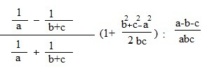
Итак. Вот пример. Решение сделано, ответ вышел 0,1, но он, как оказалось, не верный.
Приложения:

Ответа на этот вопрос пока нет. Попробуйте найти его через форму поиска.
Вас заинтересует
2 года назад
3 года назад
9 лет назад
10 лет назад