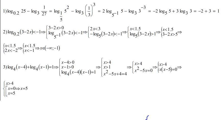
1) log0,2 25 - log3 127
2) log0,2 (3-2х) < -1 (найти наибольшее целое решение неравенства)
3) log4 (х-4) + log4 (х-1) = 1
Ответы
Ответ дал:
0
...............................................................................................
Приложения:

Ответ дал:
0
2) наибольшее целое решение х=-2
Вас заинтересует
2 года назад
3 года назад
9 лет назад