Ответы
Ответ дал:
0
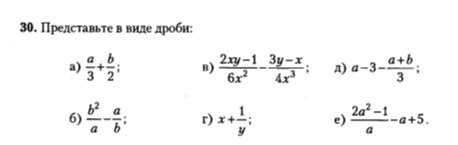
a) =2a + 3b / 6
б) = b^2*b - a^2 / ab
г) = xy+1 / y
д) = 3a-6-a-b/ 3
е) = 2а^2 - 1 - a^2 - 5a / a = a^2-1-5 / a
б) = b^2*b - a^2 / ab
г) = xy+1 / y
д) = 3a-6-a-b/ 3
е) = 2а^2 - 1 - a^2 - 5a / a = a^2-1-5 / a
Вас заинтересует
2 года назад
2 года назад
3 года назад
9 лет назад
9 лет назад
10 лет назад