Ответы
Ответ дал:
0
Решение смотри на фото
Приложения:

Ответ дал:
0
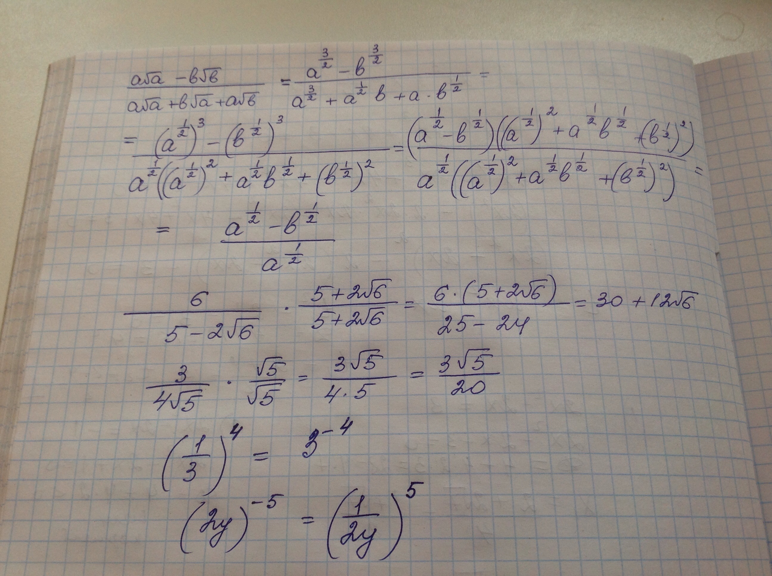
(a√a - b√b) /(a√a +b√a +a√b) = ((√a)³ -(√b)³) / ( √a (a +b +√a*√b) ) =
(√a -√b) ( (√a)² +√a *√b +(√b)² ) / (√a (a +b +√a*√b) ) =
(√a -√b) ( a +√a *√b +b ) / (√a (a +√a*√b +b ) ) = (√a -√b) / √a .
--------------
6/(5 -2√6) =6*(5 +2√6) / (5 -2√6) (5 +2√6) =6(5 +2√6) / (5² -(2√6)²) =
6(5 +2√6) / (25 - 4*6) = 6(5 +2√6) .
--------------
3/4√5 =3*√5 /(4√5 *√5) =3√5 / 20 .
--------------
(1/3)⁴ =(3⁻¹)⁴ = 3⁻⁴ .
--------------
(2y)⁻⁵ = 1/(2y)⁵ * * *=1/(32y⁵) * * *
--------------
√(-3,1)² =√3,1² = 3,1 * * *не однозначно, допустим (3; 4) ; 3 < 3,1< 4 * * *
(√a -√b) ( (√a)² +√a *√b +(√b)² ) / (√a (a +b +√a*√b) ) =
(√a -√b) ( a +√a *√b +b ) / (√a (a +√a*√b +b ) ) = (√a -√b) / √a .
--------------
6/(5 -2√6) =6*(5 +2√6) / (5 -2√6) (5 +2√6) =6(5 +2√6) / (5² -(2√6)²) =
6(5 +2√6) / (25 - 4*6) = 6(5 +2√6) .
--------------
3/4√5 =3*√5 /(4√5 *√5) =3√5 / 20 .
--------------
(1/3)⁴ =(3⁻¹)⁴ = 3⁻⁴ .
--------------
(2y)⁻⁵ = 1/(2y)⁵ * * *=1/(32y⁵) * * *
--------------
√(-3,1)² =√3,1² = 3,1 * * *не однозначно, допустим (3; 4) ; 3 < 3,1< 4 * * *
Приложения:

Вас заинтересует
2 года назад
2 года назад
3 года назад
3 года назад
9 лет назад
10 лет назад