• Предмет: Алгебра
  • Автор: fgguseynovaotzyqt
  • Вопрос задан 9 лет назад

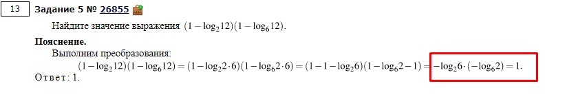
Логарифмы. Почему равно единице?

Приложения:

Ответы

Ответ дал: rubilovalex
0
используем формулу перехода к новому основанию : Log(6)2= Log(2)2/Log(2)6=1/Log(2)6. -Log(2)6*(-1/Log(2)6)=Log(2)6/Log(2)6=1. 
Ответ дал: rubilovalex
0
вы вообще проходили формулу перехода к новому основанию логарифма?
Ответ дал: fgguseynovaotzyqt
0
Нет, я самостоятельно изучаю. Я ее использовала, применив теорему "логарифм произведения 2-х пол.. чисел равен сумме", потому что думала, что его нужно применить, получилось не правильно.
Ответ дал: rubilovalex
0
здесь то разобрались?
Ответ дал: fgguseynovaotzyqt
0
Да, Вы же помогли. Спасибо большое! :)
Вас заинтересует