Ответы
Ответ дал:
0
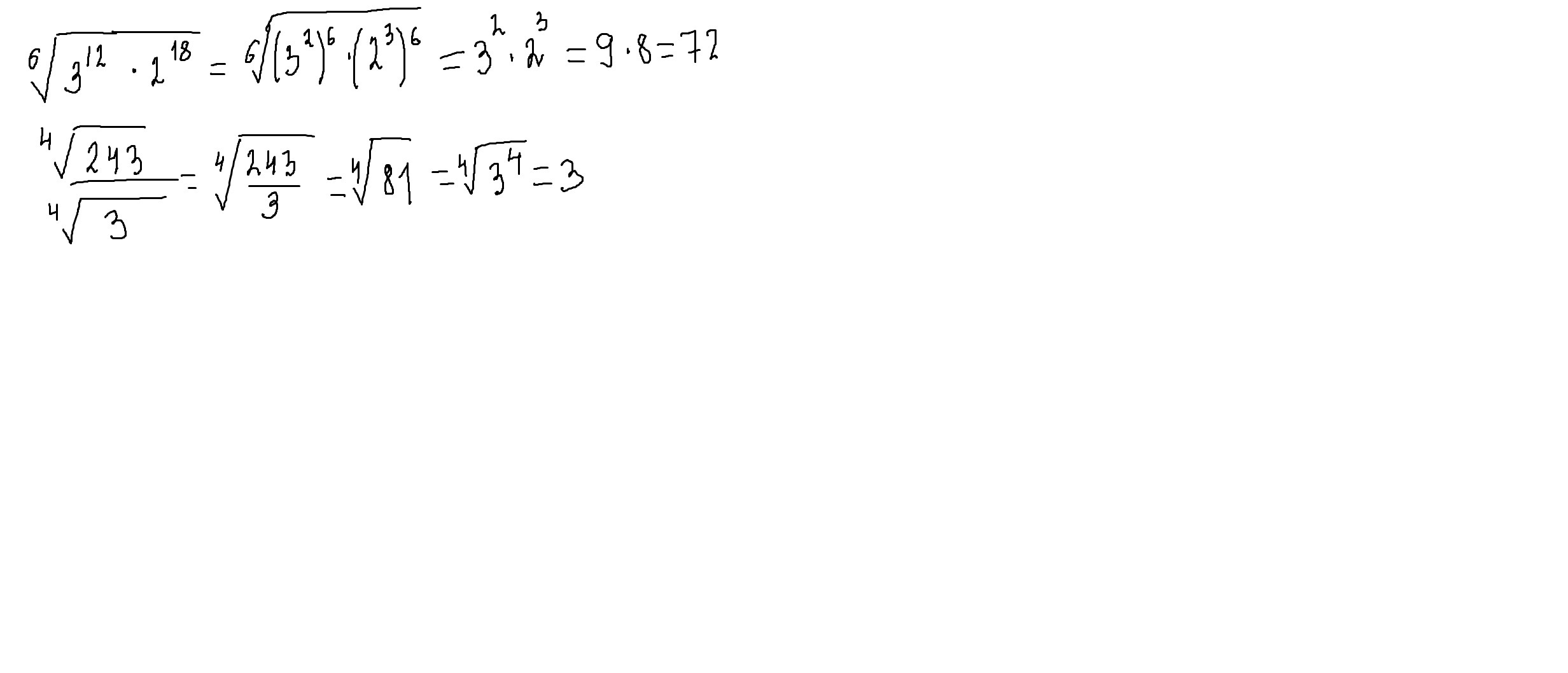
решение смотри внизу (если правильно поняла запись условия)
Приложения:

Ответ дал:
0
Спасибо огромное!!
Ответ дал:
0
пожалуйста.
Вас заинтересует
2 года назад
2 года назад
3 года назад
9 лет назад
9 лет назад
10 лет назад