Ответы
Ответ дал:
0
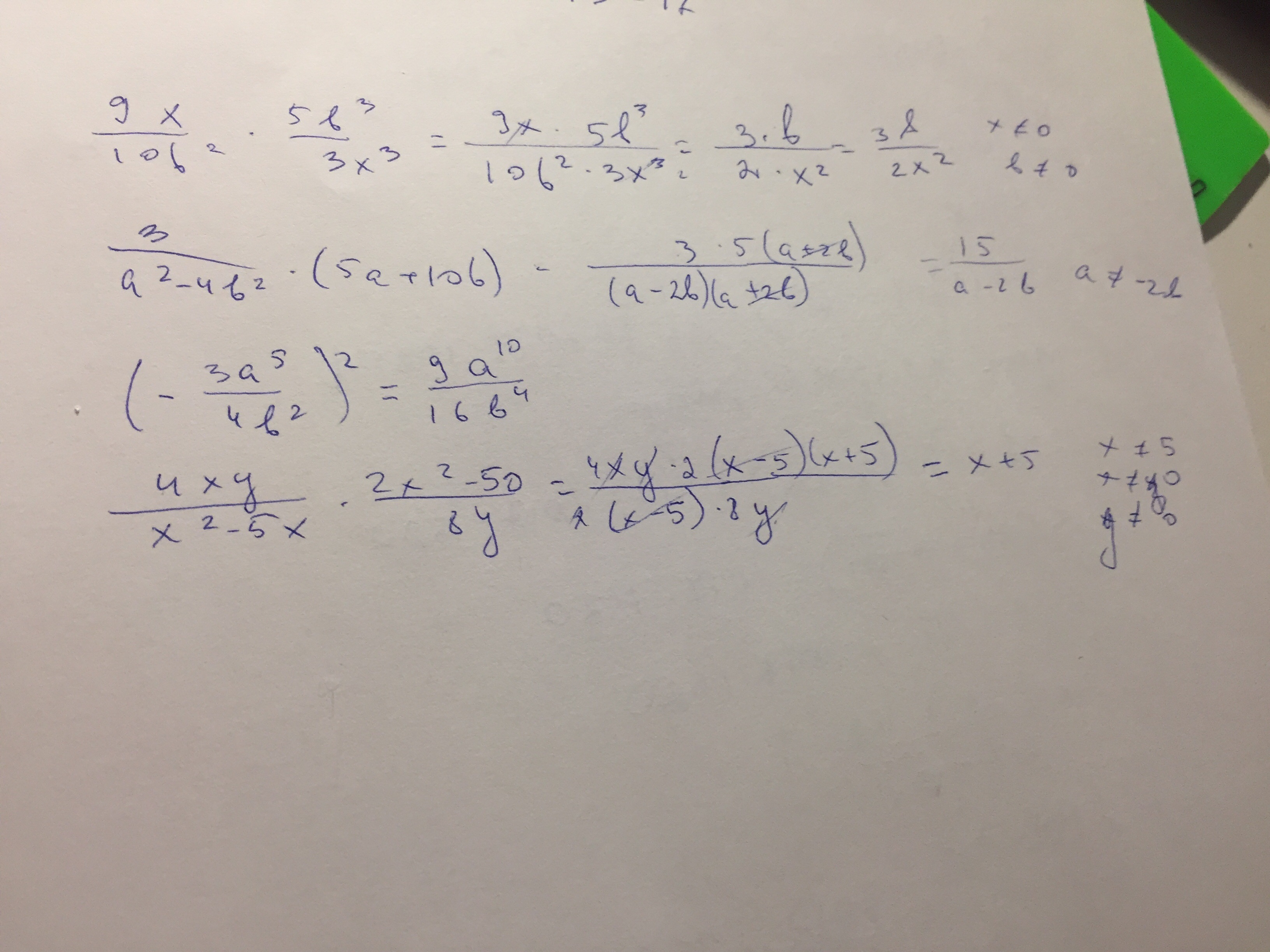
Ловиии, главное не забывай писать условия после ответа!
Приложения:

Ответ дал:
0
спаибо огромное! Спасибо!!!!!!
Вас заинтересует
2 года назад
3 года назад
3 года назад
9 лет назад
9 лет назад
10 лет назад
10 лет назад