Решить уравнение:
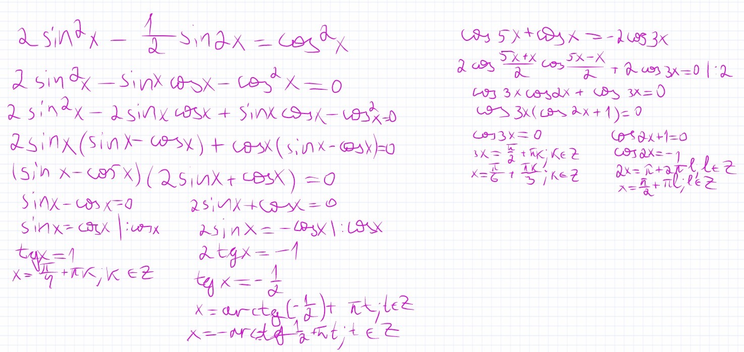
2sin^2x-1/2sin2x=cos^2x
cos5x+cosx=-2cos3x
Необязательно оба, решить хотя бы что-то, пожалуйста)
Ответы
Ответ дал:
0
Решение во вложении, надеюсь видно
Приложения:
Вас заинтересует
2 года назад
2 года назад
3 года назад
3 года назад
9 лет назад
10 лет назад
10 лет назад