Объясните как сдедать №383 "Приведите к наимаеньшему общему знаменателю обыкновенные дорби
Приложения:

Ответы
Ответ дал:
0
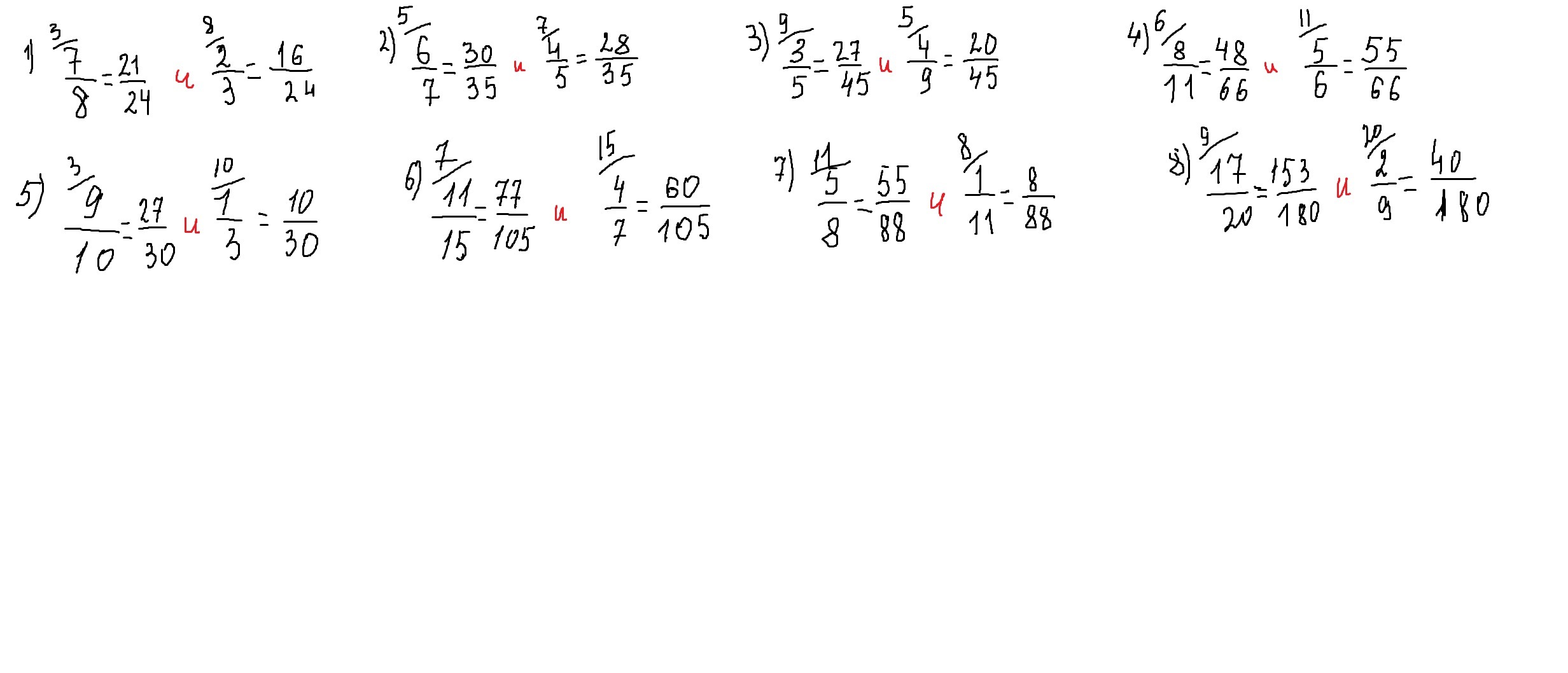
во всех примерах этого номера знаменатели взаимно простые числа,т.е не имеют общих делителей кроме 1.поэтому здесь общим знаменателем будет произведение знаменателей.а дополнительными множителями знаменатель другой дроби
Приложения:

Вас заинтересует
2 года назад
2 года назад
3 года назад
9 лет назад
10 лет назад