Составить уравнения следующих окислительно - восстановительных процессов:
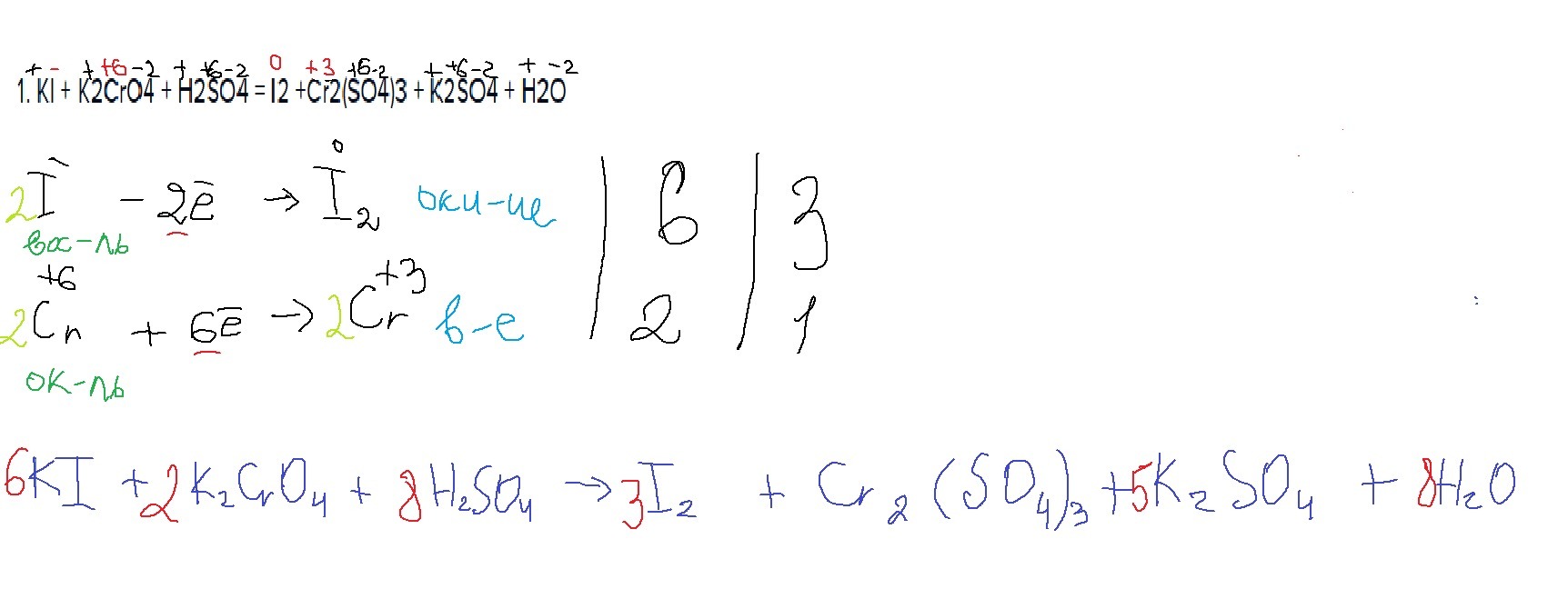
1. KI + K2CrO4 + H2SO4 = I2 +Сr2(SO4)3 + K2SO4 + H2O
Ответы
Ответ дал:
0
Если помог, нажми кнопку спасибо))
Приложения:
Ответ дал:
0
спасибо большое)
Вас заинтересует
2 года назад
2 года назад
3 года назад
3 года назад
9 лет назад
10 лет назад
10 лет назад