• Предмет: Алгебра
  • Автор: floppykiddo
  • Вопрос задан 9 лет назад

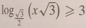
Решите логарифмическое неравенство

Приложения:

Ответы

Ответ дал: Universalka
0
log _{ frac{ sqrt{3} }{2} } (x sqrt{3} ) geq 3              x > 0
x sqrt{3} leq ( frac{ sqrt{3} }{2} ) ^{3}
x sqrt{3} leq  frac{3 sqrt{3} }{8}
x  leq   frac{ frac{3 sqrt{3} }{8} }{ sqrt{3} }
x leq  frac{3 sqrt{3} }{8 sqrt{3} }
x leq  frac{3}{8}
x leq 0,375
x ∈ (0 ; 0,375]
Вас заинтересует