Ответы
Ответ дал:
0
task/26175204
---------------------
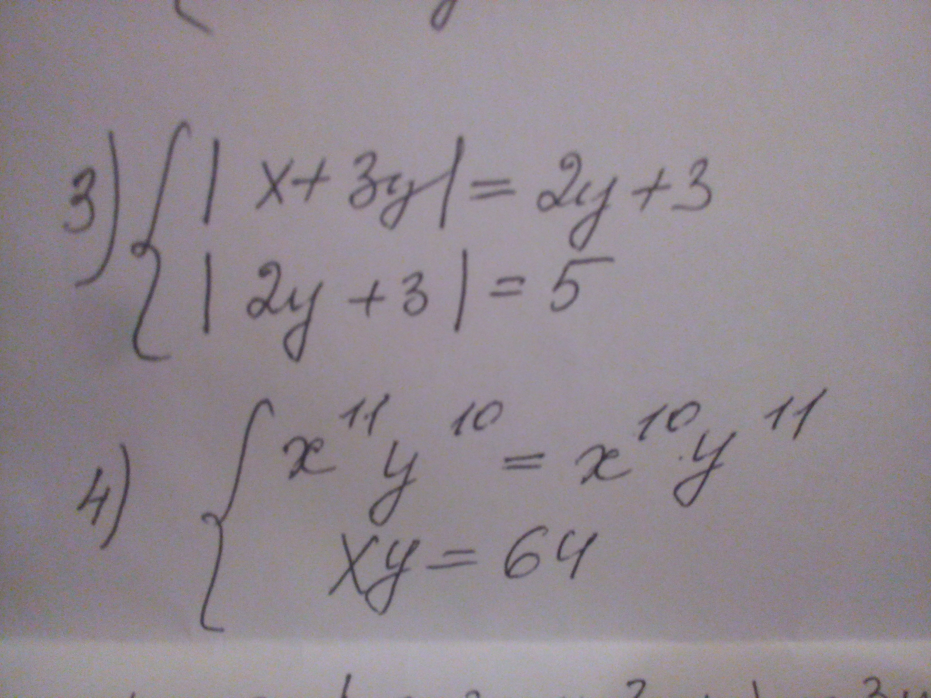
{ | x +3y | =2y +3 ; || Ясно, 2y +3 = | x +3y | ≥ 0 || { | x +3y | = 5 ;
{ | 2y +3 | =5 . ⇔ || ⇒ | 2y +3 | =2y +3 || { y = 1 .
а) { x +3y = - 5 ; { x +3*1= - 5 ; {x = -8 ;
{ y =1. ⇔ { y =1 . ⇔{ y =1.
---
б) { x +3y = 5 ; { x +3*1= 5 ; {x =2 ;
{ y =1. ⇔ { y =1 . ⇔{ y =1.
ответ : (- 8 ;1) ; (2 ;1).
-------------------------------
{ x¹¹ y¹⁰ = x¹⁰ y¹¹ ;
{ xy =64 . из второго уравнения заключаем , что x≠0 , y≠ 0 , поэтому ⇔
--------
{ x*x¹⁰y¹⁰ =x¹⁰y¹⁰y ; { x = y ; { x = y ;
{xy=64 . ⇔ { x² =8² . ⇔ {x = ±8 .
ответ : (- 8 ;-8) ; (8 ;8).
---------------------
{ | x +3y | =2y +3 ; || Ясно, 2y +3 = | x +3y | ≥ 0 || { | x +3y | = 5 ;
{ | 2y +3 | =5 . ⇔ || ⇒ | 2y +3 | =2y +3 || { y = 1 .
а) { x +3y = - 5 ; { x +3*1= - 5 ; {x = -8 ;
{ y =1. ⇔ { y =1 . ⇔{ y =1.
---
б) { x +3y = 5 ; { x +3*1= 5 ; {x =2 ;
{ y =1. ⇔ { y =1 . ⇔{ y =1.
ответ : (- 8 ;1) ; (2 ;1).
-------------------------------
{ x¹¹ y¹⁰ = x¹⁰ y¹¹ ;
{ xy =64 . из второго уравнения заключаем , что x≠0 , y≠ 0 , поэтому ⇔
--------
{ x*x¹⁰y¹⁰ =x¹⁰y¹⁰y ; { x = y ; { x = y ;
{xy=64 . ⇔ { x² =8² . ⇔ {x = ±8 .
ответ : (- 8 ;-8) ; (8 ;8).
Ответ дал:
0
|| а что это такое?
Ответ дал:
0
(просто) как разделитель
Вас заинтересует
2 года назад
2 года назад
3 года назад
3 года назад
9 лет назад
9 лет назад
10 лет назад
10 лет назад