• Предмет: Алгебра
  • Автор: SolnceUpitera
  • Вопрос задан 9 лет назад

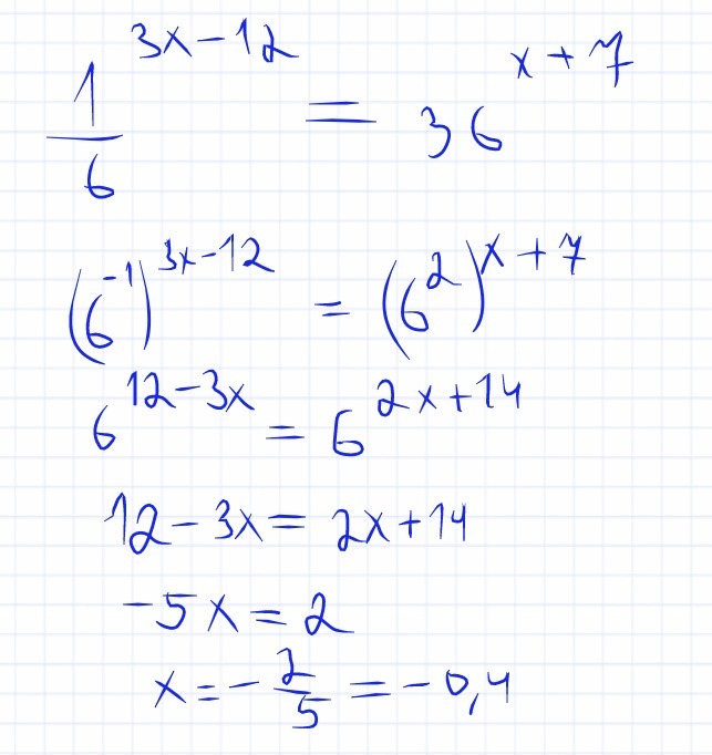
1/6^(3x-12)=36^(x+7)

Ответы

Ответ дал: volkodav575
0
Решение во вложении, надеюсь видно
Приложения:
Вас заинтересует