• Предмет: Математика
  • Автор: foximmortal
  • Вопрос задан 9 лет назад

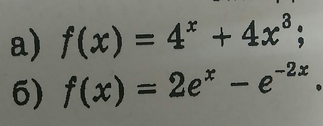
найдите производную функции

Приложения:

Ответы

Ответ дал: IrkaShevko
0
а) f'(x) = 4ˣln4 + 12x²

б) f'(x) = 2eˣ + 2e⁻²ˣ
Ответ дал: IrkaShevko
0
что не так?
Вас заинтересует