• Предмет: Алгебра
  • Автор: rvachevadarinanika
  • Вопрос задан 9 лет назад

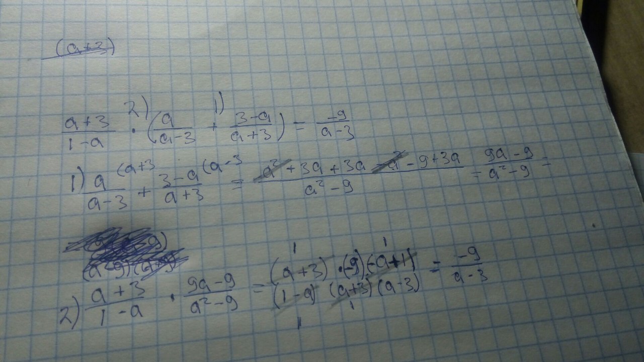
помогите решить
и каким способом решали

Приложения:

Ответы

Ответ дал: teleports
0
То что карандашом это уничтожение и сокращение
Приложения:
Вас заинтересует