• Предмет: Математика
  • Автор: рггрр
  • Вопрос задан 9 лет назад

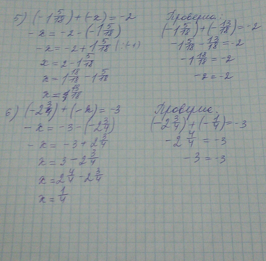
сколько будет?
подскажите пожалуйста

Приложения:

Ответы

Ответ дал: esmiramah
0
извините за почерк, торопилась
Приложения:
Вас заинтересует