• Предмет: Математика
  • Автор: прошу28
  • Вопрос задан 9 лет назад

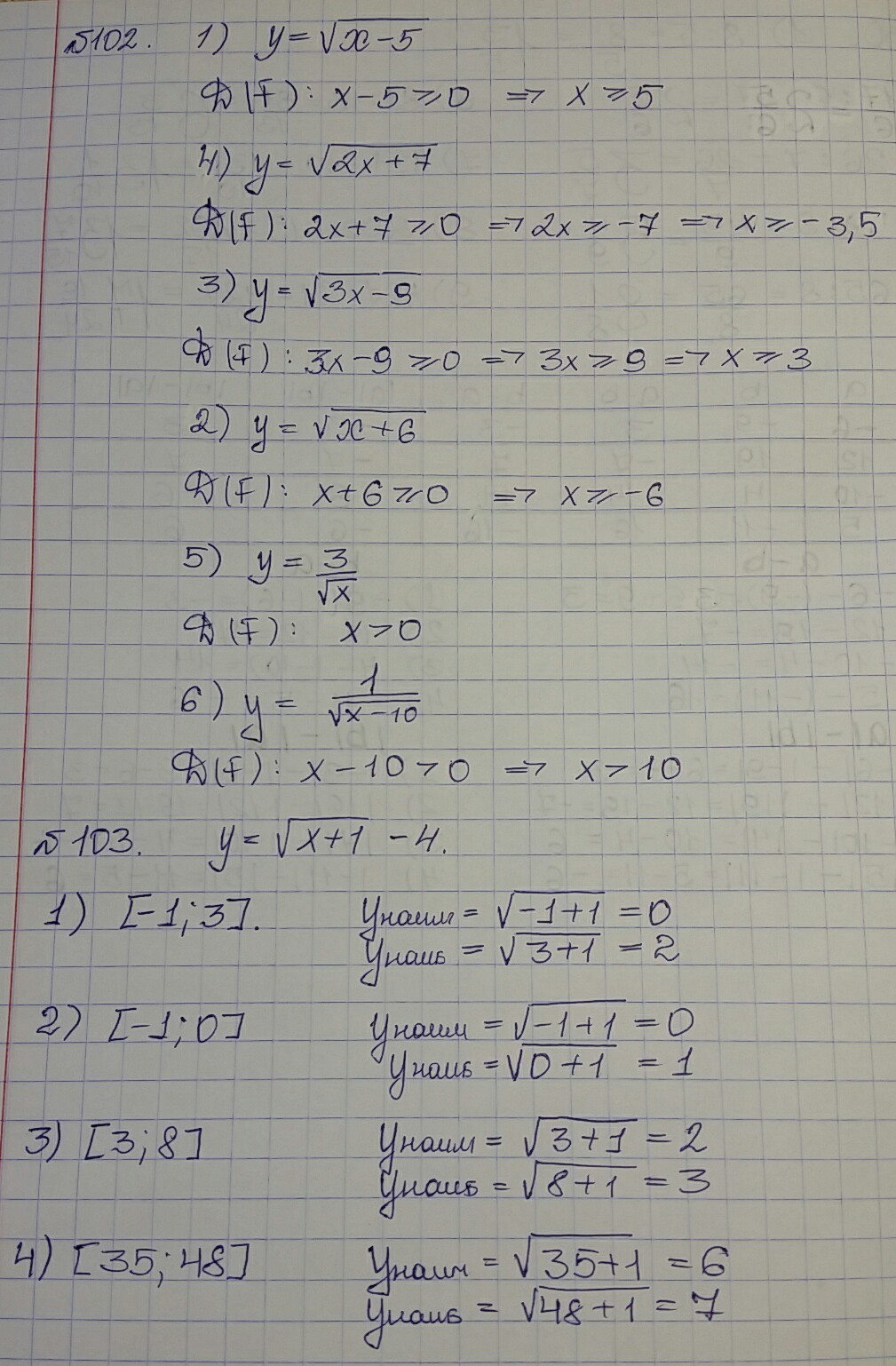
найдите область определения функции.....СРОЧНО ПРОШУ...
(102)
и номер 103 СРОЧНО

Приложения:

Ответы

Ответ дал: eliizza
0
Если есть вопросы, спрашивай.
Приложения:
Ответ дал: прошу28
0
очень помогла
Вас заинтересует