• Предмет: Геометрия
  • Автор: zykova2002zykov
  • Вопрос задан 9 лет назад

Решите пожалуйста, без рекламы!!!!!!

Приложения:

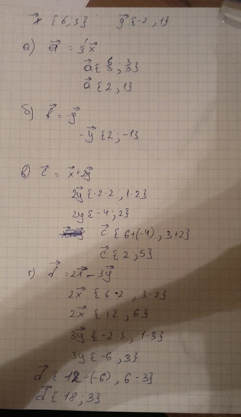
Ответы

Ответ дал: Aleza5555
0
что непонятно, спрашивай
Приложения:
Вас заинтересует