• Предмет: Математика
  • Автор: keep228
  • Вопрос задан 9 лет назад

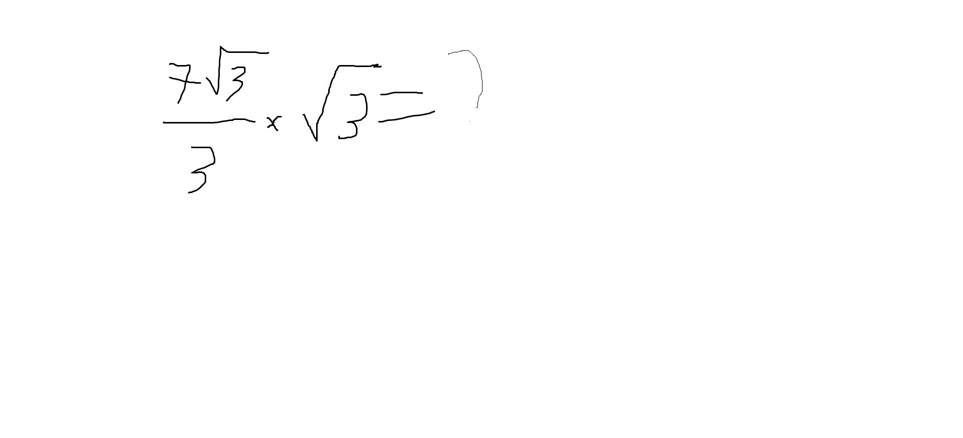
Решите пример лаю 15 баллов

Приложения:

Ответы

Ответ дал: Meowwwwwwwwwwwwwwwww
0
 frac{7 sqrt{3} *  sqrt{3} }{3} =  frac{7*3}{3} =  frac{7}{1} =7
Вас заинтересует