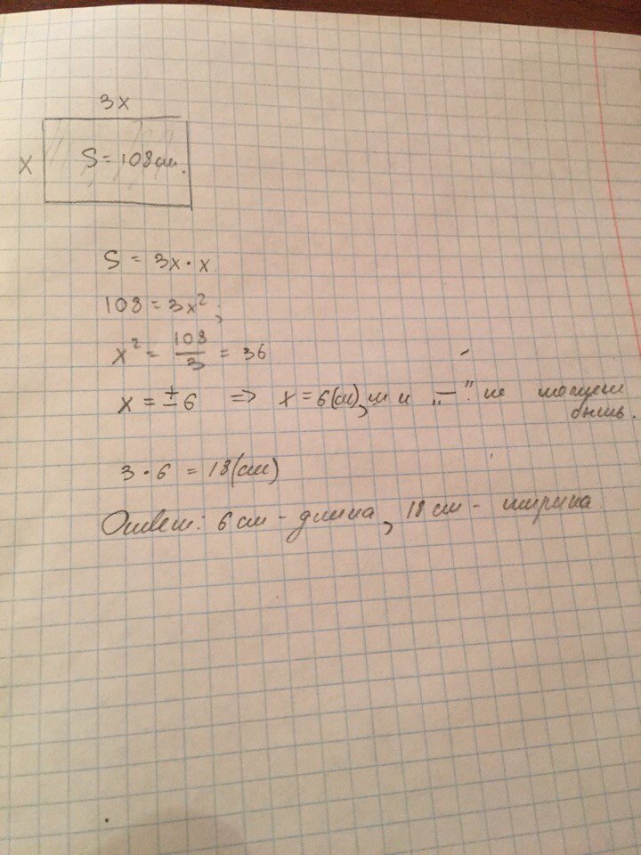
одна сторона прямоугольника в 3 раза длиннее другой. Найди стороны прямоуголника , если его площадь равна 108см
Ответы
Ответ дал:
0
...........................
Приложения:

Ответ дал:
0
спасибо
Ответ дал:
0
Доброе время суток, ответ предоставил на фото.
Приложения:

Ответ дал:
0
спасибо
Вас заинтересует
2 года назад
2 года назад
3 года назад
3 года назад
9 лет назад
10 лет назад