• Предмет: Алгебра
  • Автор: KaTeRiN13
  • Вопрос задан 9 лет назад

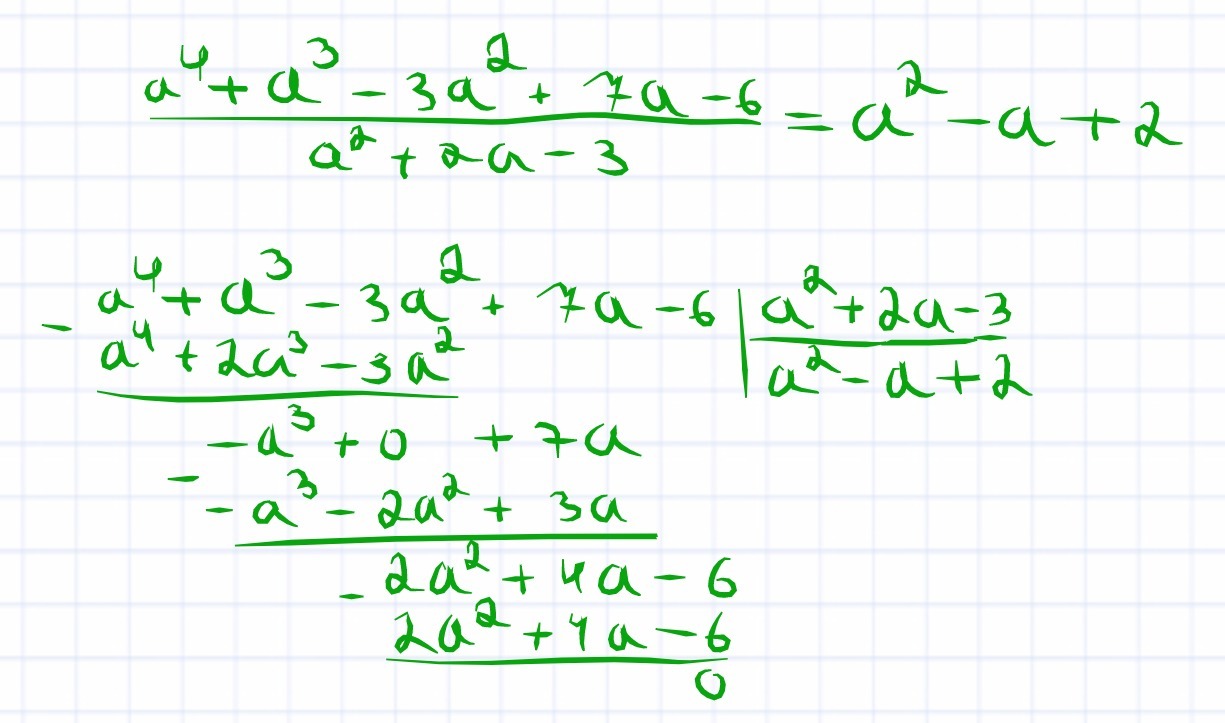
(a^4+a^3--3a^2+7a-6)/(a^2+2a-3) Помогите пожалуйста

Ответы

Ответ дал: volkodav575
0
Решениеееееееееееееее
Приложения:
Ответ дал: KaTeRiN13
0
Спасибо огромное!
Вас заинтересует