Ответы
Ответ дал:
0
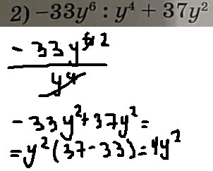
4у²=4*(0,5)²=4*0,25=1 (во вложении ход решения)
256т³=256*(-4т)³=256*(-64т³)=-16384т³
256т³=256*(-4т)³=256*(-64т³)=-16384т³
Приложения:


Вас заинтересует
2 года назад
3 года назад
3 года назад
10 лет назад