• Предмет: Алгебра
  • Автор: anastasyaposad
  • Вопрос задан 9 лет назад

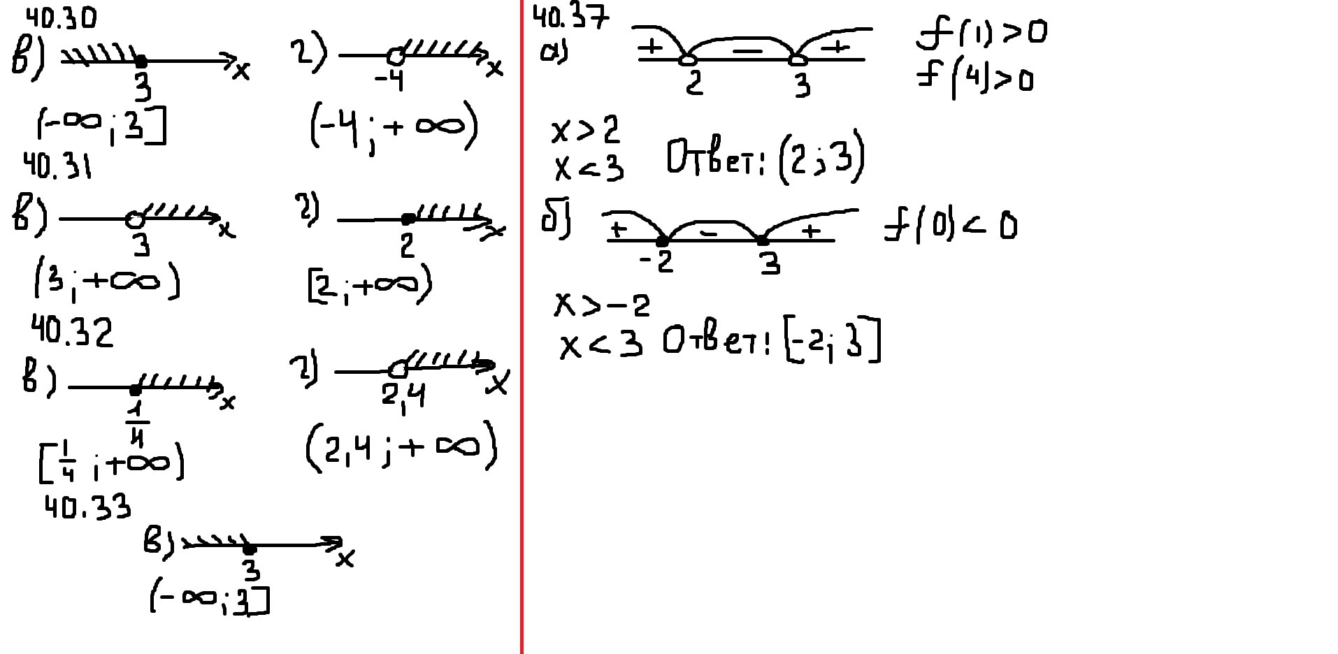
Помогите с промежутками

Приложения:

Ответы

Ответ дал: anna2501v
0
Промежутки в приложенном фото
Приложения:
Ответ дал: PolskiZnatel
0
Во-первых, не дорешал(а), не хватает записи метода интервалов, а ответы вот:
Приложения:
Вас заинтересует