Надо составить ОВР с этими химическим и реакциями:
1. 2FeO=2Fe+O2
2. Fe+H2=H2Fe
3. Fe3+3H2=3H2Fe
4. 2Fe+3Cl2=2FeCl3
5. Fe+P=FeP
6. Fe+H2SO4=FeSO4+H2
7. Fe+2HCl=FeCl2+H2
8. 2Fe+Na2SO4=2Na+Fe2SO4
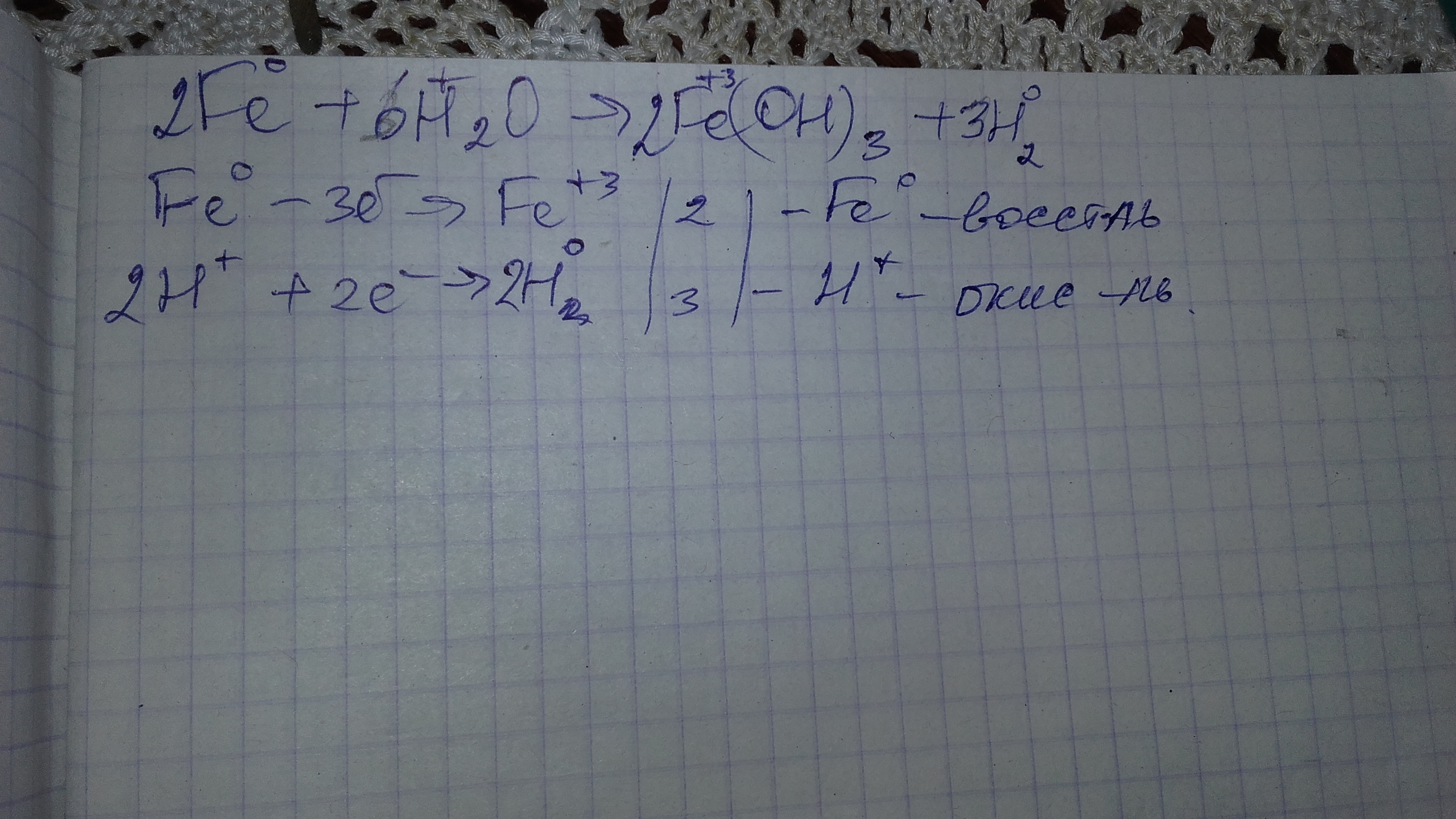
9. Fe+3H2O=Fe(OH)3+3H
Помогите,пожалуйста. Даю 50 баллов.
Ответы
Ответ дал:
0
Ответ на фотографии...
Приложения:


Вас заинтересует
2 года назад
2 года назад
3 года назад
3 года назад
9 лет назад
9 лет назад
10 лет назад
10 лет назад