Ответы
Ответ дал:
0
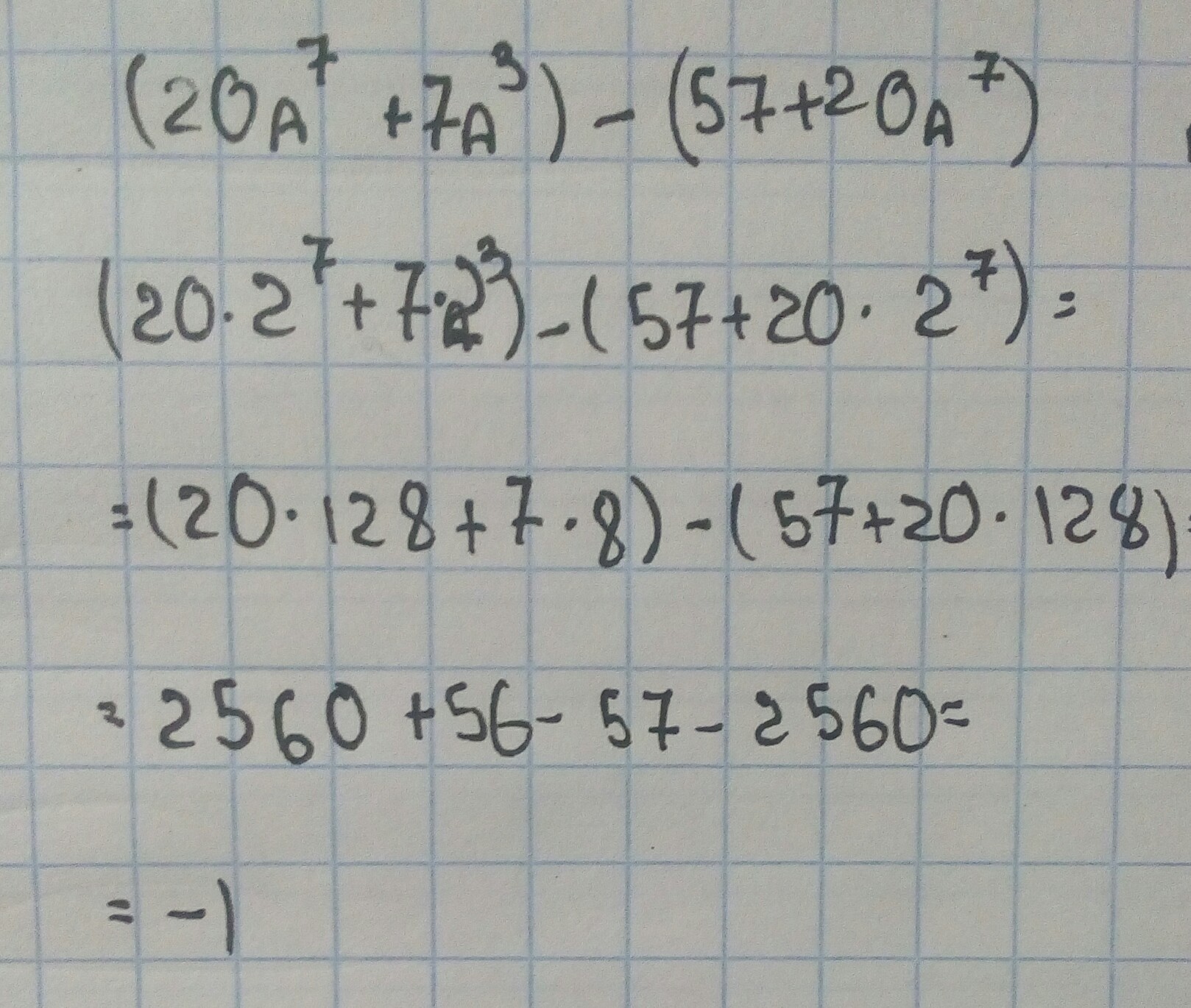
20•2^7 можно не расписывать и оставить в исходном виде, всё равно взаимовычитаемо
Приложения:

Вас заинтересует
2 года назад
3 года назад
3 года назад
9 лет назад
9 лет назад
10 лет назад
10 лет назад