• Предмет: Математика
  • Автор: Аноним
  • Вопрос задан 11 лет назад

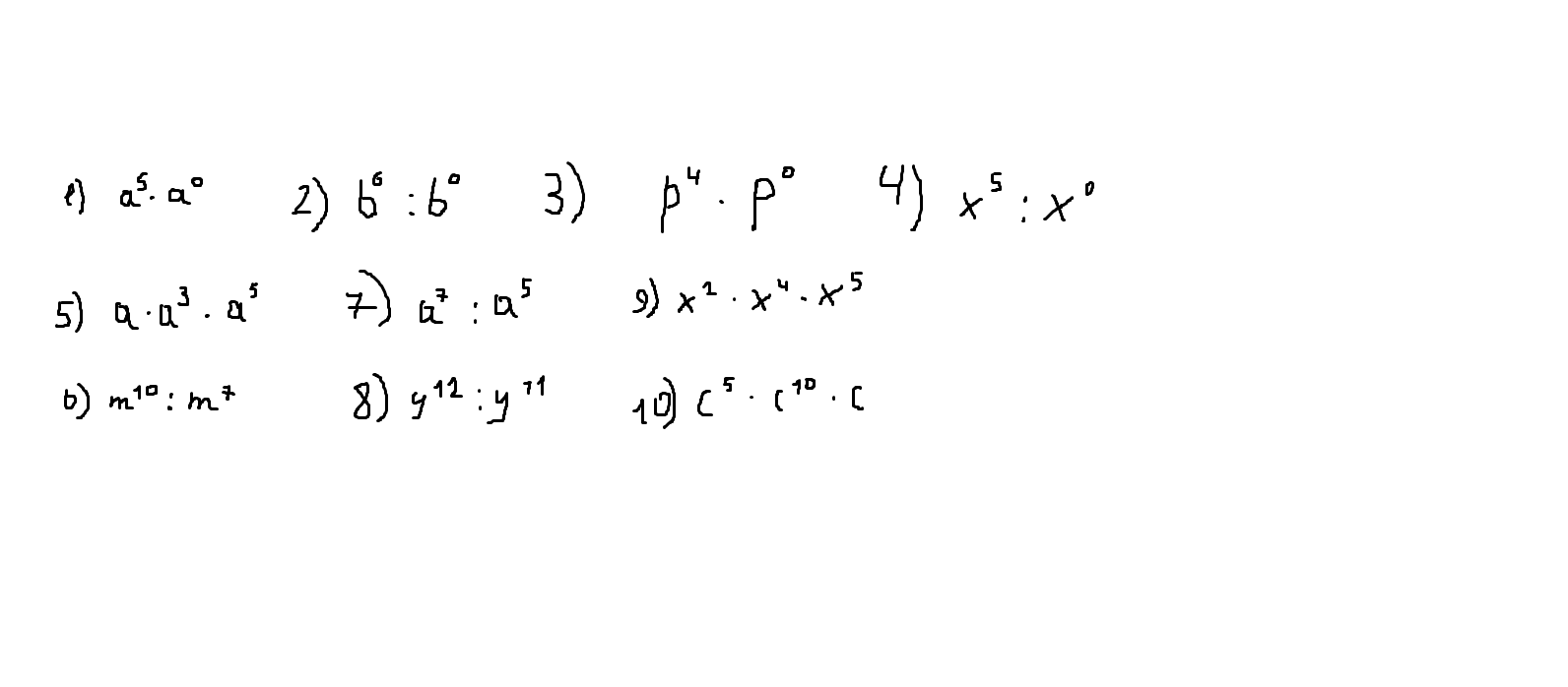
ребят помагите решить задание нужно упрастить выражение задание во влажении лучшее решение дам обещаю кто решить помагите пожалуста буду благодарен

Приложения:

Ответа на этот вопрос пока нет. Попробуйте найти его через форму поиска.

Вас заинтересует